Ansawdd a methodoleg
Diweddarwyd 16 Rhagfyr 2025
1. Crynodeb ansawdd
1.1 Pwyntiau pwysig am ddata Mynegai Prisiau Tai y DU
Mae’n bwysig nodi’r canlynol:
- er mwyn caniatáu i newid pris pur yn unig fwydo i mewn i fesur chwyddiant prisiau tai, mae Mynegai Prisiau Tai y DU yn destun addasiad cymysgedd er mwyn caniatáu ar gyfer gwahaniaethau rhwng tai a werthir mewn cyfnodau gwahanol, er enghraifft y math o eiddo neu faint yr eiddo
- chwyddiant prisiau tai yw’r gyfradd y mae prisiau eiddo preswyl a brynir yn y DU yn codi ac yn gostwng
- mae Mynegai Prisiau Tai y DU yn cael ei gynhyrchu ar y cyd rhwng Cofrestrfa Tir EF, Gwasanaethau Tir ac Eiddo Gogledd Iwerddon, y Swyddfa Ystadegau Gwladol a Chofrestri’r Alban
- cyhoeddir data Mynegai Prisiau Tai y DU yn fisol gyda data hanesyddol ar gael o 1969 (mae’r data yn chwarterol cyn 1995)
- gall nifer isel o drafodion gwerthiannau mewn rhai awdurdodau lleol a bwrdeistrefi Llundain (megis Ynysoedd Orkney, Na h-Eileanan Siar, Ynysoedd Shetland a Dinas Llundain) arwain at anwadalrwydd ar y lefelau hyn (dylid dadansoddi daearyddiaethau gyda nifer isel o drafodion gwerthiannau yng nghyd-destun eu tueddiadau tymor hwy yn hytrach na chanolbwyntio ar symudiadau misol)
- mae Ynysoedd Sili wedi eu heithrio o Fynegai Prisiau Tai y DU oherwydd y niferoedd isel iawn o drafodion gwerthiannau
1.2 Trosolwg o Fynegai Prisiau Tai y DU
Mae Mynegai Prisiau Tai y DU yn cofnodi newidiadau yng ngwerth eiddo preswyl ac yn defnyddio data gwerthiannau a gesglir ar drafodion tai preswyl, boed am arian parod neu gyda morgais. Mae eiddo wedi cael eu cynnwys:
- yng Nghymru a Lloegr er Ionawr 1995
- yn yr Alban er Ionawr 2004
- yng Ngogledd Iwerddon er Ionawr 2005
Mae cyfres ddeilliadol wedi cael ei chyfrifo yn ôl i 1968. Mae data ar gael ar lefel genedlaethol a rhanbarthol yn ogystal ag ar lefel siroedd, awdurdodau lleol a bwrdeistrefi Llundain.
Mae data Gogledd Iwerddon ar gael bob chwarter. Mae prisiau tai, nifer y trafodion a chyfraddau twf yn cael eu cadw’n gyson ar gyfer pob mis o fewn y chwarter. Yn y ddau fis yn dilyn diwedd chwarter, pan nad yw canlyniadau Gogledd Iwerddon ar gyfer y chwarter diweddaraf ar gael eto, mae mynegeion, prisiau tai a chyfraddau twf ar gyfer Gogledd Iwerddon yn cael eu cario ymlaen o’r chwarter blaenorol. Cânt eu diwygio wedi hynny pan fydd y chwarter wedi ei gwblhau.
1.3 Defnyddiau a defnyddwyr Mynegai Prisiau Tai y DU
Mae cynhyrchu ystadegau prisiau tai yn berthnasol ar gyfer llawer o ddibenion ac mae ganddo amrywiaeth o ddefnyddwyr sy’n defnyddio ystadegau’r farchnad dai i wneud amrywiaeth eang o benderfyniadau gan gynnwys darparu tai, a ddylid prynu, ac a ddylid rhoi benthyg. Mae’r prif ddefnyddwyr a’u defnydd o ystadegau’r farchnad dai yn cynnwys:
- y llywodraeth ganolog – monitro perfformiad economaidd, llunio polisïau a rheoleiddio
- awdurdodau lleol – monitro a datblygu polisïau tai
- sefydliadau ariannol – gwneud penderfyniadau ynghylch a ddylid rhoi benthyg, faint i roi benthyg a gosod cyfraddau llog
- cymdeithasau tai – asesu nifer y bobl sydd ag angen am dai a gwneud penderfyniadau ynghylch a ddylid prynu neu adeiladu eiddo i ateb yr angen hwnnw
- adeiladwyr tai – asesu a oes a ble mae’r galw am dai newydd, a’r elw a wneir ar gartrefi sydd wedi eu hadeiladu neu eu haddasu
- asiantau tai ac asiantaethau gosod tai – olrhain nifer yr eiddo a werthir a’r pris y cafodd yr eiddo ei werthu amdano, yn ogystal â’r mathau o eiddo a’u lleoliad, a chynghori darpar werthwyr ar bris gwerthu cyraeddadwy eu heiddo
1.4 Cryfderau a chyfyngiadau Mynegai Prisiau Tai y DU
Nid yw Mynegai Prisiau Tai y DU mor amserol o ran cyhoeddi â mesurau mynegai prisiau tai eraill a gyhoeddir yn y DU oherwydd ei fod yn seiliedig ar werthiannau sydd wedi eu cwblhau ar ddiwedd y broses drawsgludo, yn hytrach na phrisiau wedi eu hysbysebu neu wedi eu cymeradwyo.
Cryfder Mynegai Prisiau Tai y DU yw ei fod yn rhoi sylw eang i drafodion arian a morgais a ffynhonnell ddata fawr (cofrestriadau tir megis y rhai a gedwir gan Gofrestrfa Tir EF) sy’n caniatáu i ddata gael ei gyhoeddi hyd at lefel awdurdod lleol gyda dadansoddiadau pellach ar gael yn ôl math o eiddo, statws y prynwr, statws ariannu a statws yr eiddo.
Dros dro yw’r amcangyfrifon ar gyfer y misoedd diweddaraf ac maent yn debygol o gael eu diweddaru wrth i ragor o ddata gael ei gynnwys yn y mynegai. Er bod newidiadau i amcangyfrifon ar y lefel bennawd yn fach, gall y rhain fod yn fwy ar ddaearyddiaethau is o ganlyniad i’r llai o drafodion a ddefnyddir. Mae rhagor o fanylion ynghylch pam mae ein hamcangyfrifon yn newid i’w gweld yn ein polisi diwygiadau.
1.5 Gwelliannau diweddar i Fynegai Prisiau Tai y DU
Er mwyn lleihau maint ac effaith diwygiadau ym Mynegai Prisiau Tai y DU, o 12 Rhagfyr 2017, gwnaed newidiadau i’n model amcangyfrif wrth gyfrifo ein hamcangyfrif cyntaf. Roedd diwygiadau ar i lawr hanesyddol mawr yn cael eu hysgogi’n bennaf gan ein hamcangyfrif o adeiladau newydd oedd yn rhy uchel oherwydd roedd nifer y trafodion adeiladau newydd yn ein hamcangyfrif cyntaf yn rhy fach i gynhyrchu canlyniadau dibynadwy. Gan fod Mynegai Prisiau Tai y DU yn gymysgedd o adeiladau newydd (tua 10%) ac adeiladau sy’n bodoli (tua 90%), roedd hyn yn effeithio ar ein hamcangyfrif cyhoeddedig cyntaf ar y lefel bennawd. Rydym wedi gwella ein model amcangyfrif i gyfrif am hyn. Effaith y gwelliant hwn i’r fethodoleg yw bod maint ein diwygiadau wedi lleihau ers hynny ac nid ydynt ar i lawr bob amser mwyach. Oherwydd y newid hwn, nid ydym yn cyhoeddi dadansoddiad o adeiladau newydd ac adeiladau sy’n bodoli mwyach ychwaith ar gyfer y ddau fis cyntaf. Felly, er bod ein hamcangyfrifon cyntaf yn fwy cywir, collir rhywfaint o ronynnedd yn y dadansoddiadau sydd ar gael yn ein hamcangyfrifon cyntaf.
Rhoddwyd rhagor o fanylion am ein dull yn ein blog a thrafodir effaith y gwelliant hwn ymhellach yn adran 3.6: Gwelliannau diweddar i’r fethodoleg.
2. Nodweddion ansawdd Mynegai Prisiau Tai y DU
2.1 Perthnasedd
Datblygwyd Mynegai Prisiau Tai y DU mewn ymateb i Adolygiad yr Ystadegydd Gwladol o Ystadegau Prisiau Tai (2010) gan adeiladu ar ymgynghoriad Hydref 2014 ar ddatblygu mynegai prisiau tai diffiniol (PDF, 280KB) a’r ymateb cyhoeddedig dilynol.
Rydym yn parhau i geisio adborth ar sut y gallwn ddatblygu Mynegai Prisiau Tai y DU ymhellach. Trwy ein grŵp Mynegai Prisiau Tai y DU LinkedIn rydym yn gweithio gyda defnyddwyr, budd-ddeiliaid a’n partneriaid i wella’r wybodaeth a’r data a ddarperir er mwyn sicrhau bod y mynegai yn parhau i gynnig y gwerth cyhoeddus mwyaf posibl.
Os hoffech rannu eich adborth ar Fynegai Prisiau Tai y DU, gallwch gofrestru eich diddordeb i ymuno â grŵp Mynegai Prisiau Tai y DU neu cysylltwch â ni am ragor o wybodaeth.
2.2 Cywirdeb a dibynadwyedd
Cywirdeb
Mae’r amser rhwng gwerthu eiddo a chofrestru’r wybodaeth hon yn amrywio. Fel arfer, mae’n cymryd rhwng pythefnos a dau fis. Weithiau, mae’r cyfnod rhwng gwerthu a chofrestru yn hwy na dau fis; mae hyn yn arbennig o wir yn achos adeiladau newydd. Er enghraifft, caiff ein hamcangyfrif cyntaf ar gyfer mis penodol ei gyfrifo trwy ddefnyddio tua 40% o’r trafodion a gaiff eu cofrestru ac yn y pen draw gyda’r ail a’r trydydd amcangyfrif wedi eu cyfrifo ar sail tua 80% a 90% o’r trafodion cofrestredig terfynol. Mae hyn yn golygu bod ein hamcangyfrifon yn cael eu diwygio wrth i fwy o ddata gael ei gynnwys yn y mynegai. Cyhoeddir tablau diwygio ochr yn ochr â datganiad Mynegai Prisiau Tai y DU bob mis i helpu defnyddwyr i werthuso cywirdeb a dibynadwyedd ein hamcangyfrifon.
Mae nifer o wiriadau gennym yn eu lle i leihau gwallau prosesu a mewnbynnu data, gan gynnwys gwiriadau dilysu ar ddata a glanhau data er mwyn dileu data gwallus.
Mae rhagor o fanylion am y gweithdrefnau sydd gennym yn eu lle i sicrhau ansawdd ein ffynonellau data i’w gweld yn Sicrhau Ansawdd Data Gweinyddol.
Dibynadwyedd
Wrth ddadansoddi diwygiadau Mynegai Prisiau Tai y DU hanesyddol (yn enwedig y rhai tua diwedd 2016) canfuwyd bod amcangyfrifon yn cael eu diwygio ar i lawr bob amser. Yn ôl ein dadansoddiad roedd y diwygiadau mawr ar i lawr yn cael eu hysgogi’n bennaf gan yr amcangyfrif cyhoeddedig cyntaf ar gyfer ‘adeiladau newydd’ oedd yn rhy uchel. Gan fod Mynegai Prisiau Tai y DU yn gymysgedd o adeiladau newydd (tua 10%) ac adeiladau sy’n bodoli (tua 90%) mae hyn yn effeithio ar ein hamcangyfrif cyhoeddedig cyntaf ar y lefel bennawd.
Mae trafodion sy’n cynnwys creu cofrestr newydd, megis adeiladau newydd, yn fwy cymhleth ac mae cynnydd mewn ceisiadau wedi creu ôl-groniad. O ganlyniad, mae prosesu yn cymryd yn hwy. Darllenwch am yr hyn rydym wedi ei wneud i leihau ein hôl-groniad, ein safonau gwasanaeth a’n cynlluniau ar gyfer y dyfodol.
Er mwyn cyfrif am adeiladau newydd sy’n cymryd mwy o amser i’w prosesu, o 12 Rhagfyr 2017, gwnaed diwygiadau i’n model amcangyfrif wrth gyfrifo ein hamcangyfrif cyntaf. Mae rhagor o fanylion am y digwyddiad hwn i’w gweld yn adran 3.
Effaith yr ôl-groniad prosesu ar Fynegai Prisiau Tai y DU yw nid ydym yn cyhoeddi dadansoddiad adeiladau newydd ac adeiladau sy’n bodoli mwyach yn ein hamcangyfrif cyntaf a’n hail amcangyfrif.
Byddwn yn parhau i fonitro diwygiadau i Fynegai Prisiau Tai y DU er mwyn sicrhau bod ein hamcangyfrifon cyntaf yn parhau’n gadarn wrth i’r ôl-groniad leihau. Cyhoeddir tablau diwygiadau ochr yn ochr â lawrlwythiadau data Mynegai Prisiau Tai y DU bob mis er mwyn darparu mwy o dryloywder i ddefnyddwyr.
2.3 Ansawdd allbwn
Mae Mynegai Prisiau Tai y DU yn cynrychioli twf mewn prisiau tai cyfartalog o fewn ardal ddaearyddol, a gall hyn fod yn wahanol i dwf eiddo unigol o fewn y ddaearyddiaeth honno.
Er bod prisiau cyfartalog a chyfraddau twf ar ddaearyddiaethau uwch yn gadarn, gall trafodion gwerthiannau isel mewn rhai awdurdodau lleol arwain at anwadalrwydd ar y lefelau hyn. Er bod ymdrechion yn cael eu gwneud i gyfrif am yr anwadalrwydd hwn, gall y math o eiddo a nifer yr eiddo a werthir mewn unrhyw gyfnod penodol ddylanwadu ar y newid yn y pris ar y lefelau lleol hyn. Dylid ystyried daearyddiaethau sydd â nifer isel o drafodion gwerthiannau yng nghyd-destun eu tueddiadau tymor hwy yn hytrach na chanolbwyntio ar symudiadau misol.
2.4 Cydlyniad a chymaroldeb
Ar hyn o bryd, mae llawer o ffynonellau gwahanol o ystadegau prisiau tai yn cael eu cyhoeddi yn ogystal â Mynegai Prisiau Tai y DU. Bydd gwahaniaethau yn y data a gyhoeddir gan bob ffynhonnell, gan fod gwahaniaethau yn y data a’r fethodoleg a ddefnyddir. Er enghraifft, mae Rightmove yn defnyddio prisiau gofyn, mae ffynonellau megis Nationwide a Halifax yn defnyddio eu data cymeradwyo morgais eu hunain, tra bod Mynegai Prisiau Tai y DU yn defnyddio data ar ddiwedd y broses drawsgludo, wedi ei gyfrifo yn seiliedig ar werthiannau wedi eu cwblhau. Mae hyn yn golygu bod Mynegai Prisiau Tai y DU yn fwy cyflawn yn gyffredinol na’r mesurau eraill, gan roi sylw i drafodion arian a morgais ar gyfer y DU gyfan ac mae ar gael ar lefel fwy gronynnog, fodd bynnag canlyniad hyn yw nid yw mor amserol o ran ei gyhoeddi.
Gallwch hefyd ddarllen am y gwahaniaeth rhwng y mesurau mynegai prisiau tai amrywiol a’u cryfderau a’u cyfyngiadau yn ein cyhoeddiad Cymharu mynegeion prisiau tai yn y DU.
2.5 Cysyniadau a diffiniadau
Cyfrifir Mynegai Prisiau Tai y DU yn dilyn yr arferion gorau rhyngwladol a argymhellir fel y diffinnir yn Llawlyfr Mynegai Prisiau Eiddo Preswyl Eurostat.
Yn Rhagfyr 2016 comisiynwyd cam ychwanegol o adolygiad cymheiriaid arbenigol o’r dulliau gan uwch economegydd yn y Gronfa Ariannol Ryngwladol. Cadarnhaodd yr adolygiad hwn fod Mynegai Prisiau Tai y DU yn bodloni safonau rhyngwladol a chynigiodd rai gwelliannau ychwanegol. Crynhoir y gwelliannau posibl hyn mewn Papur Gwaith y Gronfa Ariannol Ryngwladol. Byddwn yn ymchwilio i’r gwelliannau arfaethedig hyn fel rhan o’n cynllun datblygu.
2.6 Daearyddiaeth
Mae codau post eiddo yn cael eu mapio i ddaearyddiaethau lefel uwch gan ddefnyddio Chwilio am God Post a Chyfeirlyfr Codau Post Ystadegau Gwladol y gellir eu cyrchu trwy borthol Open Geography y Swyddfa Ystadegau Gwladol.
2.7 Hygyrchedd ac eglurder
Mae data Mynegai Prisiau Tai y DU yn cael ei gyhoeddi o dan Drwydded Llywodraeth Agored. Mae data ar gael mewn sawl ffurf bob mis:
- darperir adroddiadau ar gyfer y DU, Lloegr, yr Alban a Chymru, gyda chyswllt ar wahân i adroddiad Mynegai Prisiau Tai Gogledd Iwerddon a gyhoeddir bob chwarter
- gellir llwytho i lawr data sylfaenol Mynegai Prisiau Tai y DU mewn ffurf gwerthoedd wedi eu gwahanu gan atalnodau (CSV) trwy lawrlwythiadau data Mynegai Prisiau Tai y DU, neu ffurfiau Terse RDF Triple Language (Turtle), a’r ymholiad SPARQL wedi ei gynhyrchu yn y golwg cefndir
- mae’r teclyn Chwilio Mynegai Prisiau Tai y DU yn cynnig modd i gwsmeriaid gynhyrchu adroddiadau argraffadwy sy’n deillio o ddata Mynegai Prisiau Tai y DU
Mae rhagor o fanylion am ddatganiadau cysylltiedig i’w gweld yn y cyhoeddiadau ar GOV.UK. Os bydd unrhyw newidiadau i’r amserlen ryddhau a gyhoeddir ymlaen llaw, tynnir sylw’r cyhoedd at y newid a chaiff y rhesymau dros y newid eu hesbonio’n llawn.
2.8 Amseroldeb a phrydlondeb
Mae Mynegai Prisiau Tai y DU yn dilyn amserlen gyhoeddi fisol ac mae’n ddau fis ar ei hôl hi. Mae’r oedi hwn i’w briodoli’n bennaf i’r amser a gymerir i gasglu a phrosesu’r data.
Mae union amser cyhoeddi’r Mynegai Prisiau Tai yn dibynnu ar argaeledd a chyflenwad data, a dyna pam y cyhoeddir bwletin ystadegol y Mynegai Prisiau Tai ar naill ai’r ail neu’r trydydd dydd Mercher o’r ail fis ar ôl y cyfnod cyfeirio.
Mae calendr dyddiadau rhyddhau ar gael ar y wefan ac yn rhoi 12 mis o rybudd ymlaen llaw o’r dyddiadau rhyddhau. Yn y sefyllfa annhebygol y bydd newid i’r amserlen ryddhau a gyhoeddir ymlaen llaw, tynnir sylw’r cyhoedd at y newid a chaiff y rhesymau dros y newid eu hesbonio’n llawn ar yr un pryd, fel y nodir yn y Cod Ymarfer ar gyfer Ystadegau.
2.9 Gallu ymddiried yn ein data
Rydym yn ymrwymo i bileri, egwyddorion ac arferion y Cod Ymarfer ar gyfer Ystadegau wrth gynhyrchu Mynegai Prisiau Tai y DU.
Mae’r Swyddfa Rheoleiddio Ystadegau wedi dynodi Mynegai Prisiau Tai y DU yn Ystadegyn Cenedlaethol. Mae llythyr gan y Cyfarwyddwr Cyffredinol ar gyfer Rheoleiddio yn manylu ar y camau a gymerwyd i fodloni’r gofynion fel y’u nodir yn adroddiad asesiad Mynegai Prisiau Tai y DU.
3. Dulliau a ddefnyddir i gynhyrchu Mynegai Prisiau Tai y DU
Mae Mynegai Prisiau Tai y DU yn dwyn ynghyd nifer o ffynonellau data gweinyddol cynhwysfawr. Mae dibyniaeth gynyddol ar ddefnyddio data gweinyddol wrth gynhyrchu ystadegau swyddogol. Mae hyn wedi cael ei gydnabod gan y Swyddfa Rheoleiddio Ystadegau, a gyhoeddodd Safon Reoleiddio ar gyfer sicrhau ansawdd data gweinyddol. Er bod y ffynonellau data a ddefnyddir ym Mynegai Prisiau Tai y DU wedi eu crynhoi yn yr adran hon, mae gwybodaeth fwy cynhwysfawr am y ffynonellau data hyn a sut rydym wedi asesu eu hansawdd i’w gweld yn Sicrhau Ansawdd Data Gweinyddol.
Mae’r ffynonellau data a ddefnyddir i gynhyrchu Mynegai Prisiau Tai y DU yn rhannu’n ddau gategori gwahanol; data prisiau neu ddata nodweddion eiddo.
Mae’r data prisiau yn rhoi manylion am y pris trafodiad terfynol y gwerthwyd eiddo preswyl amdano (mae’r ffynhonnell data hon yn cynnwys data nodweddion eiddo cyfyngedig) tra bod data nodweddion eiddo yn rhoi manylion am yr eiddo ei hun, megis y math o eiddo (er enghraifft tŷ sengl, tŷ pâr), maint yr eiddo (nifer yr ystafelloedd neu arwynebedd llawr) a lleoliad yr eiddo. Mae cyfuno data manwl nodweddion eiddo â’r data prisiau yn darparu’r set ddata gynhwysfawr a chadarn sy’n ofynnol i’w defnyddio mewn model atchweliad hedonig, a ddiffinnir yn adran 3.2.
3.1 Prif ffynonellau data
Data Prisiau: Cofrestrfa Tir EF ar gyfer Cymru a Lloegr
Darperir data ar drafodion eiddo preswyl ar gyfer Cymru a Lloegr, a gesglir fel rhan o’r broses gofrestru swyddogol gan Gofrestrfa Tir EF ar gyfer eiddo a werthir am werth.
Mae rhai cofrestriadau wedi eu heithrio o’r data a ddefnyddir ym Mynegai Prisiau Tai y DU. Mae’r rhain yn cynnwys gwerthiannau eiddo preswyl na chawsant eu gwerthu am werth megis gwerthu rhan o eiddo, trosglwyddiad rhwng partïon mewn ysgariad, gwerthiannau ‘hawl i brynu’ ar ddisgownt, ailforgeisi ac ati. Yn ogystal, mae holl drafodion masnachol eiddo preswyl wedi eu heithrio o’r set ddata (lle mae trafodion eiddo preswyl yn cynnwys trosglwyddiad i gorff corfforaethol, cwmni neu fusnes).
Sicrwydd ansawdd data gweinyddol a ddefnyddir i gynhyrchu Mynegai Prisiau Tai y DU – data Cofrestrfa Tir EF.
Data Prisiau: Data prisiau tai Cofrestri’r Alban
Yn debyg i ddata Cofrestrfa Tir EF, darperir gwerthiannau eiddo preswyl ar gyfer yr Alban gan Gofrestri’r Alban i’w defnyddio wrth gyfrifo Mynegai Prisiau Tai y DU. Mae data prisiau’r Alban a ddarperir ar gyfer Mynegai Prisiau Tai y DU yn sgil-gynnyrch proses cofrestru eiddo’r Alban, lle cyflwynir gwerthiannau eiddo i Gofrestri’r Alban ar ôl cwblhau gwerthiant.
Mae cwmpas data Cofrestri’r Alban ychydig yn wahanol i’r Data Pris a Dalwyd gan fod trafodion sy’n gysylltiedig ag eiddo preswyl lle mae’r prynwr neu’r gwerthwr yn gorff corfforaethol, yn gwmni neu’n fusnes wedi eu cynnwys yn y set ddata hon. Mae ei sylw yn debyg i sylw Gwasanaethau Tir ac Eiddo Gogledd Iwerddon gan na ellir nodi’r trafodion hyn ar wahân ar y set ddata.
Sicrhau ansawdd data gweinyddol a ddefnyddir i gynhyrchu Mynegai Prisiau Tai y DU – data Cofrestri’r Alban.
Data Prisiau: data prisiau Gogledd Iwerddon
Mae Gwasanaethau Tir ac Eiddo/Asiantaeth Ystadegau ac Ymchwil Gogledd Iwerddon yn cyfrifo Mynegai Prisiau Tai Gogledd Iwerddon. Darperir y data hwn i’r Swyddfa Ystadegau Gwladol bob chwarter a’i gyfuno â data Prydain Fawr i roi’r cyfanswm ffigurau ar gyfer y DU.
Data nodweddion eiddo: Cyllid y DU – Arolwg Morgeisi Rheoledig
Yr Arolwg Morgeisi Rheoledig yw fersiwn Cyllid y DU o’r Data Gwerthiannau Cynnyrch Morgeisi y mae pob rhoddwr benthyg rheoledig yn adrodd arno i’r Awdurdod Ymddygiad Ariannol. Data manwl yw hwn ar lefel trafodion morgeisi sydd wedi eu cwblhau. Gan ddechrau yn Ebrill 2005, erbyn hyn mae’r Arolwg Morgeisi Rheoledig yn cynnwys dros 12 miliwn o gofnodion unigol o werthiannau morgeisi.
Yr Arolwg Morgeisi Rheoledig yw’r unig ffynhonnell gynhwysfawr o ddata sydd ar gael ar gyfer y math o gymerwr benthyg ac mae’n darparu’r data y mae ei angen er mwyn gallu cynhyrchu Mynegai Prisiau Tai y DU yn ôl a yw’r prynwr yn brynwr am y tro cyntaf neu’n berchennog presennol.
Sicrhau ansawdd data gweinyddol a ddefnyddir i gynhyrchu Mynegai Prisiau Tai y DU – Cyllid y DU.
Data nodweddion eiddo: Rhestr Brisio’r Dreth Gyngor Asiantaeth y Swyddfa Brisio
Y brif ffynhonnell o ddata nodweddion eiddo a ddefnyddir i ategu’r data prisiau tai ar gyfer Cymru a Lloegr yw’r data gweinyddol a gymerir o Restr Brisio’r Dreth Gyngor a gedwir gan Asiantaeth y Swyddfa Brisio. Mae Asiantaeth y Swyddfa Brisio wedi bod yn gyfrifol am fandio eiddo ar gyfer y Dreth Gyngor ers i’r dreth gael ei chyflwyno gyntaf yn 1993; cyn hynny, roedd Asiantaeth y Swyddfa Brisio yn gyfrifol am y system gynharach o ardrethi domestig. Mae Rhestr Brisio’r Dreth Gyngor yn ffynhonnell gadarn o ddata nodweddion eiddo (megis maint yr eiddo) sy’n rhoi sylw, mewn egwyddor, i bob eiddo preswyl yng Nghymru a Lloegr.
Sicrhau ansawdd data gweinyddol a ddefnyddir i gynhyrchu Mynegai Prisiau Tai y DU – Rhestrau Brisio’r Dreth Gyngor Asiantaeth y Swyddfa Brisio.
Data nodweddion eiddo: rhestr brisio Gwasanaethau Tir ac Eiddo Gogledd Iwerddon
Mae Gwasanaethau Tir ac Eiddo yn cadw rhestr o’r eiddo yng Ngogledd Iwerddon sy’n cael eu prisio at ddibenion ardrethi. Mae’r data yn cael ei gynnal a’i ddilysu mewn modd tebyg i ddata Asiantaeth y Swyddfa Brisio a ddisgrifir uchod. Mae cronfa ddata’r rhestr brisio yn cynnwys yr holl nodweddion eiddo sy’n ofynnol ar gyfer yr atchweliad hedonig a ddefnyddir i gynhyrchu Mynegai Prisiau Eiddo Preswyl Gogledd Iwerddon.
Sicrhau ansawdd data gweinyddol a ddefnyddir i gynhyrchu Mynegai Prisiau Tai y DU a Mynegai Prisiau Tai Gogledd Iwerddon – rhestr brisio Gwasanaethau Tir ac Eiddo Gogledd Iwerddon.
Data nodweddion eiddo: Tystysgrifau Perfformiad Ynni’r Alban
Defnyddir Tystysgrifau Perfformiad Ynni’r Alban i ddarparu arwynebedd llawr yr eiddo a nifer yr ystafelloedd cyfanheddol sy’n ofynnol er mwyn cyfrifo Mynegai Prisiau Tai y DU ar gyfer yr Alban. Caiff y wybodaeth hon ei gwirio yn erbyn y data pris a dalwyd a ddarperir gan Gofrestri’r Alban (gan ddefnyddio manylion cyfeiriad yr eiddo).
Cyflwynwyd Tystysgrifau Perfformiad Ynni i gydymffurfio â deddfwriaeth Ewropeaidd sy’n ei gwneud yn ofynnol i Dystysgrif Perfformiad Ynni gael ei darparu ar gyfer adeiladu, gwerthu neu rentu adeilad i denant newydd.
Daeth y ddeddfwriaeth sy’n sefydlu’r Tystysgrifau Perfformiad Ynni, sef Rheoliadau Perfformiad Ynni Adeiladau (yr Alban) 2008, i rym tua diwedd 2008, sy’n golygu bod Tystysgrifau Perfformiad Ynni yn bodoli ar gyfer pob trafodiad eiddo preswyl sydd wedi digwydd ers Ionawr 2009.
Sicrhau ansawdd data gweinyddol a ddefnyddir i gynhyrchu Mynegai Prisiau Tai y DU – Tystysgrifau Perfformiad Ynni Cofrestri’r Alban.
Data nodweddion eiddo: Dosbarthiad Acorn
Un o’r prif nodweddion sy’n penderfynu prisiau tai yw nodweddion demograffig yr ardal lle y lleolir yr eiddo, megis cyfoeth y bobl hynny sy’n byw yn yr ardal. Mae segmentu geo-ddemograffig sefydledig o’r DU ar gael trwy set ddata Acorn, wedi ei chynhyrchu a’i thrwyddedu gan CACI Ltd. Mae Acorn yn segmentu codau post yn gategorïau a grwpiau trwy ddadansoddi ffactorau ac ymddygiad cymdeithasol arwyddocaol. Sicrhau ansawdd data gweinyddol a ddefnyddir i gynhyrchu Mynegai Prisiau Tai y DU – Acorn (CACI Ltd).
3.2 Sut rydym yn prosesu’r data
Addasu ar gyfer y cymysgedd o eiddo
Mae mynegai prisiau tai yn gyfres sy’n olrhain y newidiadau mewn pris eiddo o’i gymharu â’r pris oedd ganddo mewn cyfnod cyfeirio. Mae newidiadau yn y gyfres yn cynrychioli cynnydd a gostyngiad mewn prisiau tai. Un o’i brif nodweddion yw’r addasiad cymysgedd o’r trafodion misol i ddileu effaith y newid yng nghyfansoddiad yr eiddo a werthir, i wneud yn siwr ein bod yn cymharu tebyg i’w debyg. Mae’r mynegai yn defnyddio atchweliad hedonig i berfformio’r addasiad cymysgedd.
Prisio eiddo
Mewn atchweliad hedonig, diffinnir eiddo yn nhermau cyfres o nodweddion, y mae pob un ohonynt yn cyfrannu at y pris a dalwyd am eiddo. Er enghraifft, bydd nifer yr ystafelloedd gwely, neu leoliad yr eiddo yn cyfrannu at y swm a dalwyd, ond ni ellir prisio unrhyw nodweddion ar wahân.
Bob mis, mae ein data prisiau (er enghraifft, Cofrestrfa Tir EF) yn cael ei gwirio yn erbyn y data nodweddion eiddo (er enghraifft Asiantaeth y Swyddfa Brisio) fel bod gennym bris a chyfres o nodweddion ar gyfer pob trafodiad.
Defnyddir model atchweliad i amcangyfrif gwerth pob nodwedd o’r gyfres o nodweddion yn ystod un cyfnod. Er enghraifft, efallai y bydd y model yn amcangyfrif yr effaith y mae pob ystafell ychwanegol a phob lleoliad gwahanol yn ei chael yn y pris gwerthu mewn mis arbennig. Yna, gellir cyfrifo pris eiddo trwy gyfuno’r gwerthoedd a neilltuir i bob un o’i nodweddion. Mae’r dull hwn yn cynnig modd inni amcangyfrif prisiau eiddo gyda phob cyfuniad o nodweddion (megis nifer yr ystafelloedd a rhanbarthau), hyd yn oed os nad oedd y cyfuniad hwnnw wedi masnachu yn y cyfnod hwnnw.
Ceir disgrifiad llawnach o’r dull hwn a dulliau amgen eraill ar gyfer cyfrifo mynegeion prisiau tai yn y Llawlyfr ar y Mynegai Prisiau Eiddo Preswyl.
Yn achos Mynegai Prisiau Tai y DU, mae’r nodweddion pennu prisiau fel a ganlyn:
- ardal awdurdod lleol ym Mhrydain Fawr ac ardal marchnad dai yng Ngogledd Iwerddon
- newidyn dosbarthiad ardal Acorn (grwpiau)
- math o eiddo (megis tŷ sengl, tŷ pâr, tŷ teras, fflat)
- arwynebedd llawr (metr sgwâr)
- nifer yr ystafelloedd
- eiddo newydd neu hen eiddo
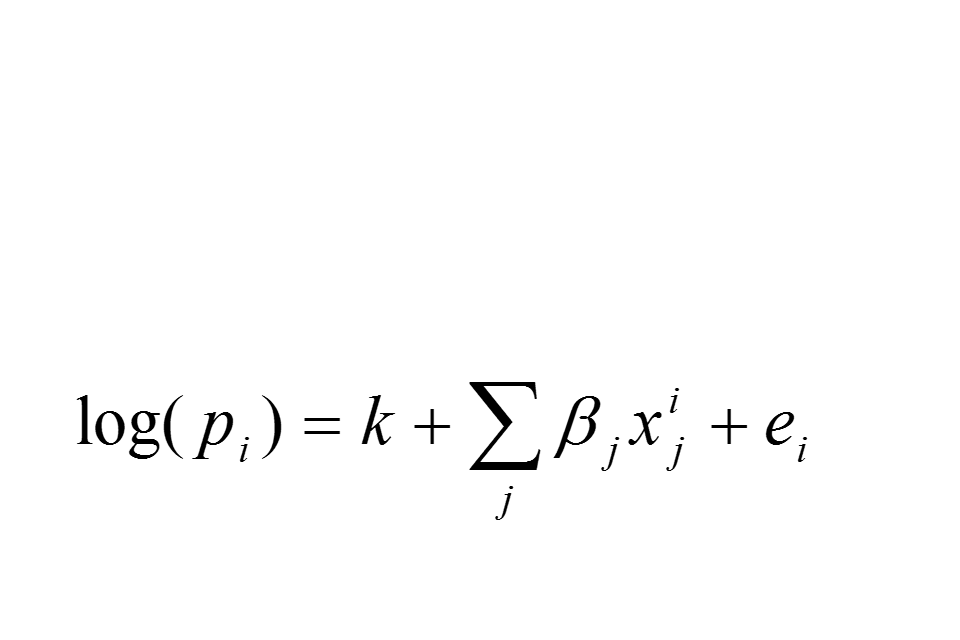
Hafaliad 1

Yn fathemategol, defnyddir model hanner log, o’r ffurf:
Hafaliad 1, lle mai:
‘pi’ yw’r pris eiddo i
‘k’ yw’r cysonyn
mae ‘xij’ yn nodi a oes gan eiddo i y nodwedd j (megis eiddo sengl). Os oes, mae’n cymryd y gwerth 1, fel arall mae’n cymryd y gwerth 0 (ac eithrio’r arwynebedd llawr lle mae’n cymryd yr arwynebedd llawr mewn m2)
‘βj’ yw’r cyfernod sy’n gysylltiedig â nodwedd j
‘ej’ yw’r term gwall ystadegol
Yn yr hafaliad hwn, defnyddir y logarithm y pris a dalwyd oherwydd bod prisiau tai yn tueddu i gael eu dosbarthu yn log normal – sy’n golygu bod dosbarthiad amlder log y pris yn siâp cloch.
Mae’r nodweddion pennu pris yn cael eu cyfuno i roi pris disgwyliedig ar gyfer pob eiddo. Yna caiff y prisiau disgwyliedig hyn eu cyfartaleddu trwy ddefnyddio cymedr geometrig, sy’n golygu lluosi’r prisiau ‘n’ disgwyliedig, ac yna cymryd yr nfed gwraidd. Ymgynghorwyd ag arbenigwyr rhyngwladol a Phwyllgor Ymgynghorol Methodolegol GSS wrth benderfynu pa gyfartaledd oedd y mwyaf priodol i’w ddefnyddio. Y farn gyffredinol oedd mai’r cymedr geometrig oedd y mesur a ffefrir, gan ei fod wedi ei ystumio llai gan werthoedd uchel. Yna mae cymhareb y prisiau cyfartalog cymedrig geometrig mewn cyfnodau amser olynol yn rhoi’r mynegai prisiau.
Mae cod dosbarthiad ardal Acorn ar gael ar lefelau gwahanol o fanylder. Defnyddir y lefel grŵp, sy’n cynnwys 18 grŵp, yn y dadansoddiad atchweliad ar gyfer Prydain Fawr, ond defnyddir y lefel 6 chategori yng Ngogledd Iwerddon oherwydd y boblogaeth lai. Mae’r newidyn ystafelloedd yn cael ei drin fel newidyn categorïaidd, lle mae cyfernod yn cael ei gyfrifo ar gyfer pob nifer yr ystafelloedd yn yr eiddo, hyd at uchafswm o wyth, yn hytrach na chyfradd fesul ystafell. Nid yw ansawdd y data ystafelloedd yng Ngogledd Iwerddon yn ddigonol er mwyn gallu ei gynnwys ym model Gogledd Iwerddon.
Nid yw’n bosibl mesur yr holl nodweddion a allai ddylanwadu ar brisiau. Er enghraifft, ni fesurir ffactorau ansoddol sy’n ymwneud â chyflwr yr eiddo, maint y traffig, pellter i ardal siopa neu weithleoedd ac ati. O ganlyniad, nid yw’n bosibl esbonio’r holl amrywiadau mewn prisiau a welir. Fodd bynnag, mae’r nodweddion a ddefnyddir yn yr hafaliadau yn yr astudiaeth hon yn esbonio tua 80% o’r amrywiad yn gyffredinol.
Mae llif proses o hyn i’w weld yn y Crynodeb o broses gynhyrchu Mynegai Prisiau Tai y DU yn y Swyddfa Ystadegau Gwladol (PDF, 315KB).
Nodweddion coll
Wrth redeg y model atchweliad hedonig, efallai y bydd un neu fwy o’u nodweddion pennu prisiau ar goll ar gyfer rhai eiddo – er enghraifft, efallai na fydd arwynebedd llawr ar gael. Mae’r eiddo hyn yn dal i gael eu defnyddio yn yr atchweliadau, ond rhoddir llai o bwysiad iddynt yn y cyfrifiadau yn dibynnu ar bwysigrwydd y newidyn coll fel penderfynydd pris. Er enghraifft, canfuwyd bod arwynebedd llawr yn cael mwy o effaith ar bris nag a yw’r eiddo yn eiddo newydd neu’n hen eiddo sy’n bodoli, felly bydd gan eiddo ag arwynebedd llawr coll lai o bwysiad nag un sydd â dangosydd eiddo newydd neu hen eiddo sy’n bodoli coll.
Un penderfynydd allweddol prisiau tai yw nodweddion demograffig yr ardal lle y lleolir yr eiddo. Mae Mynegai Prisiau Tai y DU yn defnyddio’r dosbarthiad demograffig-gymdeithasol, a elwir Acorn (wedi ei gynhyrchu a’i drwyddedu gan CACI Ltd), yn y model atchweliad hedonig i fesur cyfoeth yr ardal.
Cyn cyhoeddiad 20 Rhagfyr 2023, cafodd trafodion eiddo ym Mhrydain Fawr eu heithrio o’r model atchweliad os oedd eu dosbarthiad Acorn ar goll. O gyhoeddiad 20 Rhagfyr 2023, mae’r eiddo hyn wedi cael eu cynnwys yn y model atchweliad o ddata Ionawr 2023 ymlaen, ond rhoddir llai o bwysiad iddynt yn y cyfrifiadau, fel y disgrifir uchod. Mae’r gwelliant hwn yn y fethodoleg yn alinio sut mae trafodion â dosbarthiad Acorn coll yn cael eu defnyddio ym model Prydain Fawr a model Gogledd Iwerddon, gan gynyddu cydlyniad ar draws y DU a gwella ansawdd ystadegau Mynegai Prisiau Tai y DU.
Cyfrifo’r amcangyfrifon cyntaf
Fel y nodwyd eisoes yn yr erthygl hon, fel arfer mae’n cymryd rhwng pythefnos a dau fis i gwblhau’r broses gofrestru, gyda phryniadau eiddo newydd yn cymryd yn hwy nag eiddo sy’n bodoli. Roedd dadansoddiad pellach hefyd i’w weld yn awgrymu bod eiddo drutach yn cael eu cofrestru ychydig yn gyflymach nag eiddo arall. Gan fod nifer y trafodion adeiladau newydd yn ein hamcangyfrif cyntaf yn rhy isel er mwyn ein galluogi i gynhyrchu amcangyfrifon dibynadwy ar gyfer y dadansoddiad hwn, mae’r newidyn ‘eiddo newydd neu hen eiddo’ wedi cael ei ddileu o’n model amcangyfrif wrth gyfrifo ein hamcangyfrifon cyntaf.
Hafaliad 2
Er 12 Rhagfyr 2017 (amcangyfrifon Hydref 2017) cyfrifir ein hamcangyfrif cyntaf fel a ganlyn:

Hafaliad 2, lle mai:
‘HPI reduced (t)’ yw’r pris tŷ yn y cyfnod cyfredol gyda’r newidyn ‘eiddo newydd/sy’n bodoli’ wedi ei ddileu o’r model
‘HPI reduced (t-1)’ yw’r pris tŷ yn y cyfnod blaenorol gyda’r newidyn ‘eiddo newydd/sy’n bodoli wedi ei ddileu o’r model
‘HPI full (t-1)’ yw’r pris tŷ yn y cyfnod blaenorol gyda’r holl newidynnau wedi eu cynnwys yn y model.
Dim ond wrth gyfrifo’r amcangyfrif cyntaf y defnyddir y dull hwn. Mae cyfrifo cyfnodau blaenorol yn parhau fel y nodir yn Hafaliad 1. Mae rhagor o fanylion am y rhesymau dros y newid hwn a’i effaith i’w gweld yn adran 3.5.
Pwysoli’r mynegai prisiau
Mae Mynegai Prisiau Tai y DU yn destun addasiad cymysgedd i gyfrif am y ffaith bod tai gwahanol yn cael eu gwerthu mewn cyfnodau gwahanol; trwy ddiweddaru’r pwysiadau yn flynyddol (mae adran 3.4.1 o ‘Brisiau Tai Swyddogol wedi eu Hesbonio (PDF,974KB)’) yn rhoi enghraifft barod ddefnyddiol o’r angen am addasiad cymysgedd). Cyfrifir y pwysiadau addasiad cymysgedd yn flynyddol a chânt eu cyfrifo trwy ddefnyddio’r gwerth blwyddyn lawn ddiweddaraf o drafodion.
Er enghraifft, mae’r pwysiadau a ddefnyddir yn 2018 yn cael eu cyfrifo ar sail trafodion yn 2017. Wrth lunio’r pwysiadau hyn, rhaid i bob eiddo gael set gyflawn o nodweddion. Cyflawnir hyn trwy gyfrif am werthoedd coll gan ddefnyddio’r dull ‘cymydog agosaf’, lle mae’r gwerth coll yn cael ei ddisodli gan werth nad yw ar goll ‘rhoddedig’ o eiddo a ddewiswyd ar hap sydd â’r un gwerthoedd ar gyfer y newidynnau nad ydynt ar goll.
Dylid nodi bod statws prynwr yn cael ei gyfrif amdano hefyd (er enghraifft perchen-feddiannydd am y tro cyntaf neu gyn berchen-feddiannydd) ac arian neu forgais sy’n golygu y gellir cyfrifo prisiau disgwyliedig cyfartalog, ac felly mynegeion prisiau, ar gyfer y newidynnau hyn. Penderfynir ar statws prynwr yn y lle cyntaf trwy wirio data Cyllid y DU yn erbyn data o Gofrestrfa Tir EF a Chofrestrau’r Alban. Ni fydd hyn, trwy ddiffiniad, yn cynnwys pryniadau arian; ar gyfer y rhain, cymerir yn ganiataol eu bod nhw i gyd yn bryniadau gan gyn berchen-feddianwyr.
Cyhoeddi prisiau cyfartalog
Mae’r broses addasiad cymysgedd yn ei gwneud yn ofynnol, bob mis Ionawr, i fasged sefydlog o eiddo gael ei diweddaru er mwyn adlewyrchu newidiadau yng nghyfansoddiad yr eiddo a werthir. Yna defnyddir y fasged hon i gynhyrchu prisiau wedi eu modelu ar gyfer y flwyddyn, cyn i’r fasged gael ei diweddaru eto y mis Ionawr dilynol. Mae hyn yn golygu nad yw’r prisiau cyfartalog a gynhyrchir o fasged sefydlog yn 2016 yn uniongyrchol gymaradwy â’r pris cyfartalog a gynhyrchir trwy ddefnyddio basged 2017 oherwydd byddant yn adlewyrchu cymysgedd gwahanol o eiddo.
Er mwyn cynhyrchu prisiau tai cymaradwy dros amser mae set sylfaen o brisiau cyfartalog yn cael ei huwchraddio gyda’r mynegai prisiau. Er mwyn sicrhau bod y set sylfaen o drafodion yn parhau i fod yn gynrychioliadol, bydd y cyfnod sylfaen ar gyfer y gyfres brisiau yn cael ei ddiweddaru bob pum mlynedd, a bydd y gyfres gyfan o brisiau cyfartalog yn cael ei hailraddio i gyfateb â’r cyfnod sylfaen newydd.
Er enghraifft, y gyfres brisiau gychwynnol a gyfrifir ar gyfer Mynegai Prisiau Tai y DU yw Ionawr 2015 fel y sylfaen ar gyfer prisiau cyfartalog. Bydd y sylfaen hon yn cael ei diweddaru bob 5 mlynedd (felly bydd y diweddariad nesaf yn symud y sylfaen i Ionawr 2020). Dangosir hyn yn Nhabl 1.
Tabl 1: Enghraifft o ailgyfeirio ym Mynegai Prisiau Tai y DU
| Blwyddyn | Mynegai prisiau (2015=100) | Cyfres brisiau blwyddyn sylfaen 2015 | Pris cyfartalog gwirioneddol | Cyfres brisiau blwyddyn sylfaen 2020 |
|---|---|---|---|---|
| 2010 | 86 | 170,000 | 172000 | |
| 2011 | 85 | 168,000 | 170000 | |
| 2012 | 85 | 169,000 | 170000 | |
| 2013 | 87 | 173,000 | 175000 | |
| 2014 | 94 | 187,000 | 189000 | |
| 2015 | 100 | 198,000 | 198,000 | 200000 |
| 2016 | 107 | 212,000 | 214000 | |
| 2017 | 112 | 221,000 | 224000 | |
| 2018 | 115 | 228,000 | 230000 | |
| 2019 | 120 | 238,000 | 240000 | |
| 2020 | 125 | 248,000 | 250,000 | 250000 |
| 2021 | 130 | 257,000 | 260000 |
Sylwer: mae’r data o 2018 ymlaen yn ddata gwneuthuredig at ddibenion enghreifftiol yn unig.
Yn yr enghraifft (sy’n seiliedig ar ddata blynyddol, yn hytrach na misol er hwylustod cyflwyno), mae’r twf yn parhau heb ei newid trwy ailgyfeirio’r cyfnod sylfaen prisiau o 2015 i 2020, ond mae’r prisiau cyfartalog i gyd wedi eu graddio i fyny gan 0.8%, sef y gwahaniaeth canrannol rhwng y pris gwirioneddol ar gyfer 2020 a’r pris cyfartalog yn seiliedig ar 2015 ar gyfer y flwyddyn honno. Mae’r dull hwn yn sicrhau bod set o brisiau cyfartalog cymaradwy yn cael ei chyhoeddi, a bod y prisiau hyn yn parhau i fod yn gynrychioliadol o’r farchnad gyfredol.
3.3 Sut rydym yn dadansoddi’r data
Ar ôl i’r data gael ei agregu, caiff y gyfres ddilynol ei dadansoddi trwy ddefnyddio dadansoddiadau amrywiol, dros amser, ac yn erbyn ffynonellau cyhoeddedig eraill o dwf prisiau tai. Mae unrhyw symudiadau annisgwyl o fewn y gyfres yn cael eu harchwilio trwy’r data lefel cofnod. Cynhelir cyfarfodydd chwilfrydedd misol i adolygu’r data newydd a thrafod unrhyw dueddiadau hirdymor yn y data a’i ysgogiadau.
3.4 Sut rydym yn sicrhau ansawdd y data
Mae sicrhau ansawdd ar gyfer pob un o’n ffynonellau data i’w weld yn ein cyfarwyddyd cyhoeddedig Sicrhau Ansawdd Data Gweinyddol.
Wrth redeg ein hatchweliad hedonig bob mis, dadansoddir ystadegau prawf i sicrhau bod y model wedi rhedeg yn gywir ac yn ffitio’n llwyddiannus. Mae hyn yn cynnwys dadansoddi R sgwâr y model (ffit y model) ac arwyddocâd y newidynnau esboniadol. Ceir R sgwâr o tua 0.8. Mae hyn yn golygu bod 80% o’r amrywiad yn y pris yn cael ei ddal gan y newidynnau esboniadol. Mae R sgwâr o 0.8 yn uchel. Roedd gan hen Fynegai Prisiau Tai y Swyddfa Ystadegau Gwladol R sgwâr o tua 0.7. Ar ôl cyfrifo’r amcangyfrifon newydd, gwneir dadansoddiad diwygio. Mae hyn yn cynnwys:
- dadansoddiad diwygio rhwng yr amcangyfrif cyntaf a’r amcangyfrif dilynol ar lefel gwlad a rhanbarthol
- dadansoddiad diwygio rhwng amcangyfrifon diwygiedig newydd ac amcangyfrifon cyhoeddedig blaenorol ar bob lefel ddaearyddol gyhoeddedig
Cyhoeddir tablau diwygiadau ar lefel gwlad ochr yn ochr â lawrlwythiadau data Mynegai Prisiau Tai y DU bob mis er mwyn darparu tryloywder pellach i ddefnyddwyr.
3.5 Sut rydym yn cyflwyno’r data
Cyhoeddir datganiad Mynegai Prisiau Tai y DU yn fisol gan Gofrestrfa Tir EF ar GOV.UK. Mae data ar gael trwy:
- adroddiadau penodol ar lefel y DU a gwlad
- data CSV lawrlwythadwy
- teclyn rhyngweithiol
Cyhoeddir crynodebau lefel uchel hefyd gan y Swyddfa Ystadegau Gwladol a Chofrestri’r Alban sy’n cyfeirio defnyddwyr at y prif ddatganiad ar GOV.UK.
Mae data a gesglir o Gofrestrfa Tir EF, Cofrestri’r Alban a threth dir y toll stamp Cyllid a Thollau EF ar gael o 1995 ar gyfer Cymru a Lloegr, 2004 ar gyfer yr Alban a 2005 ar gyfer Gogledd Iwerddon. Mae ôl gyfres Mynegai Prisiau Tai y DU hwy wedi cael ei llunio trwy ddefnyddio’r llwybr hanesyddol ym Mynegai Prisiau Tai y Swyddfa Ystadegau Gwladol (Excel, 3.7MB) (wedi dod i ben bellach). Trwy hyn, mae cyfres ddeilliedig ar gael yn ôl i 1968 ar lefel ranbarthol ac uwch.
Awdurdodau lleol, bwrdeistrefi, siroedd ac ardaloedd metropolitan
Mae cyfartaledd symudol o 3 mis wedi cael ei gymhwyso i amcangyfrifon o dan y lefel ranbarthol er mwyn lleihau’r anwadalrwydd a achosir gan drafodion gwerthiannau isel mewn rhai awdurdodau lleol a bwrdeistrefi Llundain. Er enghraifft, ar lefel awdurdod lleol, mae’r amcangyfrif cyhoeddedig ar gyfer Mawrth yn gyfartaledd syml o’r amcangyfrifon a gyfrifwyd ar gyfer Ionawr, Chwefror a Mawrth.
Mae anwadalrwydd yn parhau yn yr amcangyfrifon ar gyfer awdurdodau lleol sydd â llai o drafodion, megis Ynysoedd Shetland, Orkney, Dinas Llundain a Na h-Eileanan. Dylid ystyried y cyfresi hyn yng nghyd-destun eu tueddiad yn y tymor hir yn hytrach na chanolbwyntio ar eu symudiadau misol.
Nid yw cyfartaledd symudol 3 mis yn cael ei gynhwyso ar gyfer amcangyfrifon Gogledd Iwerddon oherwydd maent ar gael bob chwarter yn unig.
Addasiad tymhorol
Pwrpas addasiad tymhorol yw dileu amrywiad cysylltiedig â chalendr systematig sy’n ymwneud â’r adeg o’r flwyddyn; hynny yw, effeithiau tymhorol.
Mae hyn yn hwyluso cymariaethau rhwng cyfnodau amser olynol. Er nad yw’r mynegai pennawd ar gyfer Mynegai Prisiau Tai y DU wedi ei addasu’n dymhorol, mae cyfresi wedi eu haddasu’n dymhorol ar gael o fewn y data lawrlwythadwy. Mae prisiau cyfartalog a mynegeion wedi eu haddasu’n dymhorol ar gael ar lefel ranbarthol ac uwch.
Mae rhagor o fanylion am y broses ar gyfer addasiad tymhorol i’w gweld ar wefan y Swyddfa Ystadegau Gwladol. Adolygir paramedrau addasiad tymhorol yn flynyddol.
3.6 Gwelliannau methodolegol diweddar
Mae’r adran hon yn rhoi rhagor o fanylion am y gwelliannau diweddar i Fynegai Prisiau Tai y DU a grynhoir yn adran 1.5.
Diwygiadau ym Mynegai Prisiau Tai y DU
Mae’r amser rhwng gwerthu eiddo a chofrestru’r wybodaeth hon yn amrywio. Fel arfer mae’n amrywio rhwng pythefnos a dau fis. Weithiau mae’r cyfnod rhwng gwerthu a chofrestru yn hwy na dau fis. Oherwydd yr oedi sy’n gysylltiedig â chofrestru eiddo (yn enwedig adeiladau newydd), mae Mynegai Prisiau Tai y DU pan gaiff ei gyhoeddi gyntaf yn seiliedig ar tua 40% o gyfanswm y trafodion yn y mis diweddaraf. O ganlyniad, mae Mynegai Prisiau Tai y DU yn destun diwygiadau a bydd modd diwygio’r mis diweddaraf mewn cyhoeddiadau dilynol.
Er bod diwygiadau eu hunain yn anochel oherwydd natur y data, cafwyd sylwadau gan rai defnyddwyr sylwadau ynghylch maint a chyfeiriad y diwygiadau hyn, a oedd yn fwy amlwg tua diwedd 2016, fel y dangosir yn Ffigur 1. Er y gellid disgwyl i ddiwygiadau fod ar i fyny ac ar i lawr, roedd diwygiadau Mynegai Prisiau Tai y DU bob amser ar i lawr.
Ffigur 1: Cyfradd twf 12 mis ar gyfer amcangyfrif cyntaf a therfynol Mynegai Prisiau Tai y DU, Prydain Fawr

Nodiadau:
1. Mae gan Fynegai Prisiau Tai y DU bolisi diwygio 12 mis; mae data o fewn y cyfnod hwn yn dal i fod yn destun diwygio.
- Cyflwynir data Prydain Fawr yma yn unig gan fod data Gogledd Iwerddon yn cael ei brosesu ar wahân gan Wasanaethau Tir ac Eiddo Gogledd Iwerddon.
Yn ôl ein dadansoddiad roedd y diwygiadau mawr yn cael eu hysgogi’n bennaf gan yr amcangyfrif cyntaf ar gyfer ‘adeiladau newydd’ oedd yn rhy uchel. Er bod adeiladau newydd yn cyfrif am tua 10% o’r holl drafodion yn y pen draw, roeddent yn cyfrannu at dros 80% o’r diwygio ar ddiwedd 2016.
Mae trafodion sy’n cynnwys creu cofrestr newydd, megis adeiladau newydd, yn fwy cymhleth ac felly mae angen mwy o amser i’w prosesu. Mae hyn yn golygu y gallant gymryd yn hwy i ymddangos yng nghofrestr Cofrestrfa Tir EF. Mae hyn yn golygu bod llai o drafodion adeiladau newydd ar gael inni wrth lunio ein hamcangyfrif cyntaf sy’n effeithio ar ddibynadwyedd ein hamcangyfrif cyntaf ar gyfer y dadansoddiad hwn.
Dangosir y nifer llai o drafodion adeiladau newydd yn yr amcangyfrifon cyntaf yn Nhabl 2 sy’n cyflwyno nifer y trafodion a ddefnyddiwyd yn yr amcangyfrif cyntaf yn ystod 2016 ar gyfer Cymru a Lloegr.
Tabl 2: Nifer y trafodion yn yr amcangyfrif cyntaf, Cymru a Lloegr
| Amser | Adeilad newydd | Eiddo sy’n bodoli |
|---|---|---|
| July 2016 | 131 | 26,930 |
| August 2016 | 128 | 30,213 |
| September 2016 | 85 | 29,988 |
| October 2016 | 96 | 28,634 |
| November 2016 | 138 | 24,438 |
| December 2016 | 131 | 28,189 |
Sylwer: ni chyflwynir data ar gyfer yr Alban a Gogledd Iwerddon yma.
Er bod nifer y trafodion adeiladau newydd a adroddir yn yr amcangyfrif cyntaf yn fach mewn cymhariaeth, erbyn y trydydd amcangyfrif maent yn cyfrif am oddeutu un rhan o ddeg o’r holl drafodion (tua 7,000 i 8,000 o drafodion). Mae nifer y trafodion adeiladau newydd a adroddir yn yr amcangyfrif cyntaf yn rhy fach i gynhyrchu canlyniadau dibynadwy ar gyfer yr amcangyfrif misol cyntaf. Roedd tystiolaeth hefyd fod eiddo drutach yn cael eu cofrestru ychydig yn gyflymach nag eiddo arall, gan esbonio pam y cafodd amcangyfrifon adeiladau newydd eu diwygio ar i lawr wedi hynny, wrth i drafodion adeiladau newydd llai drud gael eu cynnwys yn y mynegai yn ddiweddarach. Nid yw’r nifer llai hyn o drafodion adeiladau newydd yn yr amcangyfrif cyntaf yn gynrychioliadol o’r trafodion adeiladau newydd a gofrestrir ychydig yn ddiweddarach.
Fel y gwelir yn ffigur 1 o tua Mawrth 2017 lleihaodd y gwahaniaeth rhwng yr amcangyfrif cyntaf a’r amcangyfrif terfynol. Ym Mai 2017 (data Mawrth 2017) cyflwynwyd ffactor addasu dros dro, yn seiliedig ar ddiwygiadau a arsylwyd mewn cyfnodau blaenorol, i helpu i reoli anwadalrwydd yr amcangyfrifon ar gyfer trafodion adeiladau newydd. Er bod y dull hwn wedi gwella diwygiadau Mynegai Prisiau Tai y DU, ymchwiliwyd i ateb hirdymor gwell ac mae wedi cael ei weithredu bellach. Cafodd sawl dull ei brofi cyn dewis yr ateb tymor hwy hwn. Roedd y rhain yn cynnwys:
- cyfrifo ffactorau addasiad tuedd gan ddefnyddio dull cyfres amser
- cyfrifo ffactor addasiad tuedd yn seiliedig ar ddiwygiadau a arsylwyd mewn cyfnodau blaenorol
- model amcangyfrif gostyngol wrth gyfrifo’r amcangyfrif cyntaf
Dewiswyd yr ateb a weithredwyd (model amcangyfrif gostyngol) oherwydd roedd yn arwain at y diwygiadau lleiaf dros amser ar gyfer gwledydd Prydain Fawr. Arweiniodd hefyd at ddiwygiadau cadarnhaol a negyddol ar gyfer y cyfnodau a brofwyd. Dau fudd ychwanegol a welwyd ar gyfer y model amcangyfrif gostyngol o’i gymharu â’r dull ffactor addasiad tuedd oedd:
- roedd yn haws ei weithredu yn ein proses gynhyrchu
- roedd yn ymateb yn gyflymach i newidiadau yn strwythur y data trafodion dros amser (megis lleihad yn yr ôl-groniad)
Cyflwynir ein gwelliant methodolegol a weithredwyd a’i effaith (pe bai wedi ei gymhwyso’n hanesyddol) yn fanylach isod.
Gwelliant methodolegol
Mae ein model amcangyfrif yn cynnwys y newidynnau canlynol:
- ardal awdurdod lleol
- dosbarthiad ardal Acorn
- arwynebedd llawr (metrau sgwâr)
- nifer yr ystafelloedd
- eiddo newydd neu eiddo sy’n bodoli
Gan fod nifer y trafodion adeiladau newydd yn yr amcangyfrif cyntaf yn rhy fach i gynhyrchu canlyniadau dibynadwy mae’r newidyn ‘eiddo newydd neu eiddo sy’n bodoli’ wedi ei eithrio bellach o’r model amcangyfrif wrth gyfrifo’r amcangyfrif cyntaf. Gweithredwyd y dull hwn o ddatganiad Hydref (12 Rhagfyr 2017). Fel y nodwyd, cymhwysir y newid i’r model amcangyfrif dim ond wrth gyfrifo’n model amcangyfrif cyntaf; nid yw’r model amcangyfrif ar gyfer cyfnodau eraill wedi ei effeithio. Er enghraifft, wrth gyfrifo ein hail amcangyfrif ar gyfer mis penodol mae gennym (ers cyhoeddiad Mawrth) fwy na 2,500 o drafodion adeiladau newydd. Amcangyfrifwn fod hyn yn cyfrif am tua 40% o’r trafodion adeiladu newydd y byddwn yn eu derbyn yn y pen draw. Mae hyn yn nifer digonol o drafodion i’r newidyn ‘eiddo newydd neu eiddo sy’n bodoli’ gael ei gynnwys yn y model amcangyfrif.
Ffigur 2: Cyfradd twf 12 mis ar gyfer yr amcangyfrif cyntaf, yr amcangyfrif terfynol a’r amcangyfrif cyntaf o dan y dull newydd, Prydain Fawr

Nodiadau:
1. Mae gan Fynegai Prisiau Tai y DU bolisi diwygio 12 mis; mae data o fewn y cyfnod hwn yn dal i fod yn destun diwygio.
- Cyflwynir data Prydain Fawr yma yn unig gan fod data Gogledd Iwerddon yn cael ei brosesu ar wahân gan Wasanaethau Tir ac Eiddo Gogledd Iwerddon.
Cyflwynir effaith cymhwyso’r gwelliant hwn yn hanesyddol yn Ffigur 2 uchod. Er y byddai diwygiadau i’w gweld o hyd, o dan y dull newydd, byddent yn llawer llai ac yn gadarnhaol ac yn negyddol. Cyhoeddwyd ein bwriad i roi’r newid hwn ar waith o fewn Am Fynegai Prisiau Tai y DU ac mae’n newid i’n methodoleg er mwyn gwella cywirdeb ein hamcangyfrifon cyntaf.
Mae cyflymder gwasanaeth Cofrestrfa Tir EF yn darparu gwybodaeth fanwl am amseroedd cwblhau cyfartalog ar gyfer ceisiadau newydd a cheisiadau sy’n bodoli.
Byddwn yn parhau i fonitro diwygiadau i Fynegai Prisiau Tai y DU bob mis er mwyn sicrhau bod ein hamcangyfrifon cyntaf yn parhau i fod yn gywir ac yn ddibynadwy. Cyhoeddir tablau diwygiadau ochr yn ochr â lawrlwythiadau data Mynegai Prisiau Tai y DU bob mis er mwyn darparu mwy o dryloywder i ddefnyddwyr.