Government Social Research Membership and Eligibility Guidance
Updated 11 November 2025
(Version 8 update Nov 2023)
1. Introduction
Government Social Research (GSR) is the professional body for social researchers working in government. It is one of the eight professional groups in the Analysis Function. This document outlines the eligibility criteria and process for individuals wishing to join GSR (either via the Recruitment Route or Badging Route), and also the benefits associated with membership.
2. Membership Category
There is only one category of membership for GSR – Member. If you are currently a corporate member, you need to contact the GSR Head of Profession (HoP) in your parent department, which must be a core government department. If you were not recruited in line with the GSR Recruitment Policy into an analytical role, you will need to go through a Badging Board assessment organised in your parent department.
Membership is linked to the individual. Once a member, it is up to the individual to maintain their continuing professional development (CPD) efforts as a government social researcher in order to retain their Member status. Members can advertise their status in their email signature using the GSR logo.
3. GSR Member Eligibility Criteria
To become a member, you must fulfil the membership criteria. You need to fill in an application form, which must be certified and submitted via your GSR HoP (or the GSR HoP in your parent department if you work for an ALB).
There are five principal criteria for entry into the GSR:
1. Social Research Expertise via a relevant qualification OR work experience:
- Relevant Qualification route: Hold an undergraduate or a postgraduate degree at a minimum of 2:2 [footnote 1] The degree must contain substantial social research methods training (comprising around one third of modules taken on the course) including quantitative research methods and at least three of the following: systematic/literature reviews; qualitative methods; interpretation of data and presentation of results; study design, hypothesis testing and application of ethics to research. See Table 1.
OR
- Professional Experience route: Hold an undergraduate or a postgraduate degree at a minimum of 2:2, in any subject, or a degree equivalent (e.g. an advanced Certificate or Diploma from MRS), plus have at least 4 years’ social research practice experience. Social research practice experience consists of experience working in a research agency, market research agency or specialist research team. To enter the GSR through this route you must make explicit the breadth and depth of your research experience and skills, which must include quantitative research methods and three of the following: systematic/literature reviews; qualitative methods; interpretation of data and presentation of results; study design, hypothesis testing and application of ethics to research. See Table 1.
2. Role
Work in an analytical role (see section 3.2 for the definition of an ‘analytical role’).
3. Department
Work in a core government department or linked ALB/Agency with oversight[footnote 2] from a GSR HoP or assigned GSR Senior Profession Lead (SPL; see section 3.5 for the definition of ‘SPL’).
4. GSR Assessment
Have undergone a GSR assessment through one of the two available routes (see section 3.5 for further information):
- recruitment route: Individuals who have been recruited into a GSR post in line with GSR Recruitment Policy
- badging route: Individuals already in an analytical post doing social research work (who aren’t already accredited) with oversight from a GSR HoP (see section 3.5)
5. SCS at Director level and above
do not need to be assessed through the standard badging route. See below for more information.
Each of these criteria are explained in more detail below.
3.1 Social Research Expertise
All applicants must have an undergraduate degree or degree equivalent to join the profession.
To be eligible for the qualification route into GSR, a qualifying degree must contain substantial social research methods training, comprising of around a third of the modules in the course. It should cover quantitative methods and at least three of the topics listed in Table 1 below.
Table 1. Social Research Methods Criteria
The Degree Content must contain Quantitative methods (Mandatory) and at least three of the additional social research methods outlined below
| Quantitative methods, including research design, data collection (i.e. questionnaire design, sampling, weighting), data analysis (e.g. statistical analysis) MANDATORY | Systematic/literature reviews - optional |
|---|---|
| Qualitative methods, including research design, data collection (i.e. interviewing, focus groups, ethnography), data analysis (e.g. thematic analysis) - optional | Interpretation of data (qual & quan), presentation of results, provision of recommendations/ conclusions - optional |
| Study design, hypothesis formation, testing and evaluation, application of ethics to research - optional | Interpretation of data (qual & quan), presentation of results, provision of recommendations/ conclusions - optional |
3.3.3 Relevant degree subjects can be varied. Potential members need to demonstrate the substantial social research methods training they have taken.
3.3.4 To be eligible for the professional experience route, applicants must have at least 4 years’ social research practice experience, as mentioned in 5a above. Candidates should demonstrate the breadth and depth of their research experience and skills, which must include quantitative research methods training and at least three of the additional methods listed in Table 1 in their job/membership application.
3.2 Senior Civil Servants (Director and above)
Senior Civil Servants at Director level and above do not need to be assessed through the standard badging route. Heads of Profession can propose those within their Departments at Director level and above who have clear GSR credentials and meet the social research expertise and technical skills requirements as outlined in this guidance and in the GSR Technical Framework but who are not yet badged. This can happen either through the HOP being contacted; or from the HOP being proactive within their Department.
The candidate’s CV with endorsement from the HOP needs to be sent to the Head of GSR and the Deputy Heads of GSR who will review and decide whether the candidate can become a member of GSR without a formal badging interview. The senior GSR team will all have to agree for the decision to be made. The decision on membership will then be communicated directly to the member of staff by the senior team, copying in the HOP.
DD badging process:
Heads of Profession (HoP) can propose those within their Departments/ALBs at Deputy Director level who have clear GSR credentials and meet the social research expertise and technical skills requirements as outlined in the guidance and in the GSR Technical Framework but who are not yet badged. This can happen either through the HoP being contacted; or from the HoP being proactive within their Department. [N.B. this matches the first step in the Director-badging process].
The candidate’s CV with endorsement from the HoP needs to be sent to the Head of GSR and the Deputy Heads of GSR. Alongside a CV, prospective members should also briefly outline their awareness and understanding of relevant GSR standards - including the GSR code, the GSR ethical guidance, and the GSR publication protocol – and their commitment to championing these within their department or ALB. The Head and Deputy Heads will then review and decide whether the candidate is eligible for a formal badging interview to become a member of GSR. The senior GSR team will all have to agree for the decision to be made. The CV submitted must demonstrate the relevant qualifications and experience they bring to GSR, including technical experience and skills.
Candidates considered eligible by the GSR Leads, will subsequently be invited to undertake an interview assessment, including a presentation focused on how they will champion a high quality, impactful GSR profession, and being tested on a technical GSR question. The interview panel should consist of two substantive GSR Deputy Directors from two different departments, and where the candidate is from an ALB this should include the HoP of the parent department. Should the HoP of the parent department themselves not be a member of the SCS, they should still participate, but alongside two SCS colleagues.
3.3 Role
Entry into the GSR profession requires an individual to be going into/be in an analytical role or analytical-related role for Grade 7 and above within government and be classed as a Civil Servant. Analytical roles are overseen by GSR HoPs, or delegated SPLs if in a linked ALB/Agency (see 5c for additional details) to ensure that members’ work satisfies the standards required of a GSR professional within government. As a guide:
- RO – at least 70% of their role should be focused on social research activities
- SRO – at least 50% of their role should be focused on social research activities
- PRO/SPRO – at least 30% of their role should be focused on social research activities (reflecting that these grades can be more focused on leadership/management)
3.4 Department
To be eligible for membership, individuals need to work for a core GSR Department or a linked ALB/Agency which is overseen by a GSR HoP or assigned GSR SPL[footnote 3] (see FAQ regarding the roles and responsibilities of GSR HoP and SPL).
3.5 GSR Assessments
Individuals need to have been assessed in line with GSR Recruitment Policy via one of two routes:
- Recruitment Route. Social researchers who have been recruited through a GSR department campaign or Fast Stream assessment process (Social Research Assessment Centre; SRAC) or the Social Research scheme will have been assessed against the requirements of the profession for their grade and scheme . Departments will require at least four of the GSR membership criteria (including quantitative methods) outlined in Table 1, and may list specific criteria of more than four, as required by the role. HoPs will review and authorise application forms in line with these requirements.[footnote 4]
- Badging Route. Individuals who were not recruited via the Recruitment Route, but who are in an analytical post doing social research related work, with oversight from a GSR HoP/SPL, may be eligible for badging. Badging involves applying to be badged and, if eligible, going through the process outlined in the GSR Recruitment Policy to demonstrate eligibility against the GSR standards required of the relevant grade.
4. Role of GSR Heads of Profession and Senior Professional Leads
Departmental GSR HoPs are responsible for supporting the profession in their department, overseeing GSR recruitment, reviewing and approving GSR membership applications, and collating information for the annual GESR membership review within their department (including ALBs, where relevant). They also have a seat on the GSR Profession and/or Strategy Board and actively contribute to decision making and setting the strategic direction for the GSR profession.
Where departments have ALBs/Agencies with potentially large GSR membership numbers, GSR HoPs may choose to assign a GSR Senior Professional Lead to support them by overseeing the GSR profession in the ALB/Agency. The GSR HoP will determine suitability, but as a minimum the GSR SPL should be a GSR member and of sufficient seniority to act in this capacity.
5. GSR Member Expectations and Responsibilities
To hold and retain GSR Member status, individuals are required to sign up to the GSR standards and professional development requirements, specifically they must:
- adhere to the GSR Code
- use the GSR Framework
- undertake 100 hours of CPD annually[footnote 5] - see section 8 for CPD requirements
- be involved with and promote the GSR profession
6. Benefits of Membership
There are many benefits associated with GSR membership – see Table 2 for a summary.
Table 2. Benefits and responsibilities summary
| Benefits | Responsibilities |
|---|---|
| Access to profession-specific advice & guidance | Use and adhere to the GSR Framework |
| Courses & training opportunities | Adhere to the GSR Code |
| Government Economic & Social Research Team Seminars | Liaise with HoP/Snr Prof Lead (ALB/Agencies) |
| Opportunities to work across membership departments & broaden experience through contributing to Task & Finish Groups | Review GSR policies |
| Use of GSR branding | Participate in consultations |
| GSR Conference attendance | Maintain 100 hours CPD per year |
| Members’ website | Engage with the profession |
| GSR Newsletter (i.e. mailing list) | Engage with the profession |
| Ability to apply for vacancies requiring GSR membership |
7. Maintaining GSR Membership
Once you have been accepted as a GSR Member, you are able to maintain this membership status while you are working in a core department or linked ALB/Agency by completing and maintaining suitable CPD activities and records. However, if you have moved out of an analytical role, you should stay in touch with your GSR HoP or SPL. Your GSR membership will be at the discretion of the relevant HoP/SLP if you are not working in an analytical role.
8. CPD Requirements
Members are required to maintain 100 hours of CPD annually (pro rata for part-time members) – this can be split with 50 hours covering social research related topics and the remaining 50 hours covering more general CPD requirements (e.g. which are relevant to role/personal development requirements). There are five areas under which individuals should demonstrate continued development[footnote 6]
1. Work-based learning
For example, learning by doing, case studies, reflective practice, audit of service users, coaching from others, discussions with colleagues, peer review, gaining and learning from experience, involvement in wider profession-related work, work shadowing, secondments, journal club, in-service training, supervising, project work
2. Professional activities
For example, involvement in a professional body, teaching/lecturing, mentoring, being an assessor, being a tutor, organising journal club/specialist group, maintaining or developing specialist skills, giving presentations at conferences, supervising research/students, or involvement in our central school’s outreach projects.
3. Formal and educational
For example, courses, further education, research, attending conferences, writing articles/papers, going to seminars, distance/online learning, courses accredited by a professional body, planning/running a course
4. Self-directed learning
For example, reading journals/articles, reviewing books/articles, updating knowledge through various formats, maintaining a file of progress/reflective practice
5. Other
For example, relevant public service/voluntary work
An example record might include aspects such as
- what do I want/need to learn?
- what will I do to achieve this?
- what did I learn from the activity?
- how will this improve my work/knowledge/experience?
- target dates for review and completion
9. Membership Application
You need to complete one of the application forms, i.e. Recruitment Route, Fast Stream or Badging Route, and send it to the GSR Head of Profession or the GSR Senior Professional Lead in your department for approval.
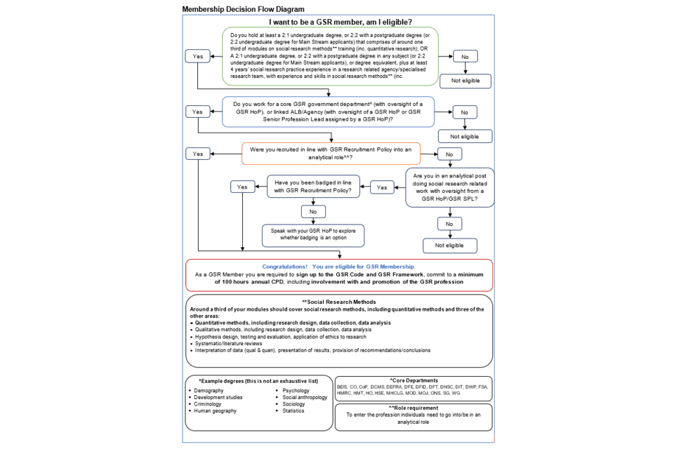
Membership Decision Flow Diagram

Membership flow diagram
10. Frequently Asked Questions
Governance
What is the GSR Board Composition?
Each central government department has a right to sit on the GSR Board, with up to three ALB/Agencies invited to be part of the Board. Each department is required to have a GSR HoP who sits on the Board.
What is the role of a GSR Head of Profession (HoP)?
The GSR HoP role exists to support the GSR profession in building capability and maintaining professional standards. Each core department has a HoP and a seat on the GSR Board. HoPs are expected to actively contribute to the strategic direction and decision-making associated with GSR Board membership, as well as support the profession in their own department. This may include providing visibility to GSR members within their respective department/linked ALB/Agency; providing advice and guidance to members to support their development; understanding the profession; and engaging with the membership to communicate outcomes from the GSR Board and other profession-related avenues.
What is the role of a GSR Senior Professional Lead (SPL)?
As some core departments have a number of ALBs/Agencies who might have individuals eligible for GSR membership, it is suggested that the relevant core GSR HoP identifies and assigns a GSR SPL to provide oversight and support for the GSR profession within these ALBs/Agencies. It will be up to the GSR HoP to determine suitability, but as a minimum the GSR SPL should be a GSR member and of sufficient seniority to act in this capacity.
Can I appeal if I disagree with the decision of my departments GSR HoP/SPL?
No. The decision of the GSR HoP/SPL is final and is based on the specific GSR membership criteria and eligibility requirements.
Historical Membership options and ALBs
I don’t want to be a full member; are there other membership options, i.e. Corporate and Associate membership for GSR?
No. The GSR Board has decided to simplify the membership options, with GSR membership being the only type of membership offered. The previous categories (including organisational, corporate, associate) were removed.
I work in an ALB, how can I apply for full GSR membership?
Following a GSR Board decision, there is no longer different types of membership, there is only one membership option. ALB members can apply by contacting their parent department HoP to approve their application (if they were recruited in line with the GSR Recruitment Policy) or to arrange a Badging Board. NAO, IICSA and HSE members can apply to a HoP in their own departments.
If you are a current full GSR member in an ALB:
You can continue to be a member of GSR if you maintain all the expectations and responsibilities of GSR members, including undertaking your annual CPD, and if your parent department, which is a core government department, agrees to take responsibility for maintaining standards.
If you are a corporate member in an ALB:
You need to contact the HoP or appointed SPL in your parent department, which must be a core government department. If you were not recruited in line with the GSR Recruitment Policy into an analytical role, you may need to go through a Badging Board assessment organised in your parent department, and to demonstrate you have fulfilled the four GSR eligibility criteria. Individuals working in an organisation without any links to a core government department will be removed from the membership.
If you are a new recruit in an ALB:
A GSR HoP/ GSR SPL in your parent department will be responsible for maintaining GSR standards around the recruitment of new members in their respective ALBs, with reference to the GSR Membership & Eligibility Guidance. You can apply for full membership by filling in an application, which needs to be certified and submitted via the GSR HoP or SPL in your parent department.
Can someone work in social research in a government department without being a GSR member?
In order to maintain GSR standards and support members’ career progression, everyone who works in government social research should be a badged GSR member, and all social research work/publications should be produced by GSR members, or at least reviewed and signed off by a GSR member. However, recruitment is at the discretion of the department and a GSR HoP could allow suitably qualified non-GSR professionals to be involved in social research at a departmental level in exceptional circumstances.
Membership eligibility
What is the entry level into GSR?
The entry level into GSR via GSR Recruitment schemes (such as Fast Stream or Social Research/Main Stream) is HEO. Civil Servants who have been recruited without GSR assessment who wish to be badged into GSR can do so at any grade as set out in the GSR Technical Framework.
How do I demonstrate that a third of my degree is in social research methods?
You should refer to the transcript[footnote 7] provided by your university which outlines your modules, credits and final marks, and demonstrate the level of detail required. The onus is on the candidate/applicant to provide this information clearly and without any confusion.
I am currently a GSR member, but I do not meet the Social Research Expertise requirement either via the qualification or experience route criteria, does this mean that I will lose my membership?
Existing members will continue to have membership and will not be affected by the new guidance.
I have a postgraduate degree but no undergraduate degree. Can I apply for GSR Membership?
Candidates who hold a postgraduate degree (MA, MSc, or PhD) but no undergraduate degree, having been admitted directly to a postgraduate course without having previously undergone undergraduate studies, can apply for GSR Membership through both the Experience routes and Qualification routes. In the Qualification route case, they will have to demonstrate that the postgraduate degree meets the required social research methods training as explained in the GSR Member Eligibility Criteria section above.
I have a diploma from the Market Research Society (MRS), does it constitute a degree in the qualification or experience route?
An advanced Certificate or Diploma from MRS is considered to be equivalent to a degree for the experience route, though you also must have at least 4 years’ social research practice experience.
I don’t have a relevant degree, but I have done some research in my PhD. Can I apply for the membership?
It depends. The qualification route requires that you study a relevant subject at undergraduate or postgraduate level in which around one third of modules covered social research methods, including quantitative research methods and three out of the additional research method components listed in Table 1. Research work towards your PhD cannot be direct evidence of meeting the requirements of the qualification route. To qualify for the experience route, you must have a degree and at least 4 years’ social research practice experience in a research agency, market research agency or specialised research team.
I have some research work experience, but I don’t have a degree, can I apply for GSR membership?
No, you need to hold an undergraduate degree at a minimum of 2:2 for the qualification route. For the experience route you may hold a degree as outlined for the qualification route, or an equivalent
I am in an analytical role, but wasn’t recruited in line with the GSR Recruitment Policy – can I join?
If you are in an analytical role, which has oversight by a GSR HoP or GSR SPL, but were not recruited in line with the GSR Recruitment Policy, you should approach your GSR HoP or GSR SPL to enquire about whether you are eligible for the badging process.
What assessments do I need to do to become a GSR member?
Assessments will vary based on grade, but may include elements such as a knowledge test, preparing and delivering an oral briefing, preparing and delivering a presentation, and demonstrating GSR expertise. Full details are available for recruiting line managers in the GSR Recruitment Policy[footnote 8] on the GSR Members’ site.
Can I join GSR if I am in a non-analytical role, but have a relevant degree?
No. To gain entry to the GSR profession you need to be working in a clearly defined analytical role, work for a core government department or linked ALB/Agency and have oversight from a GSR HoP or SPL.
How much of my role needs to be ‘analytical’ to qualify for GSR membership?
As a guide:
- RO – at least 70% of their role should be focused on social research activities
- SRO – at least 50% of their role should be focused on social research activities
- PRO/SPRO – at least 30% of their role should be focused on social research activities (reflecting that these grades can be more focused on leadership/management)
GSR Badging exercise
What is badging?
Badging is a way for analysts working in an analytical role with oversight from a GSR HoP or GSR SPL to potentially gain membership to GSR. It involves going through the process outlined in the GSR Recruitment Policy to demonstrate that you meet the standards required of a GSR member.
What is the purpose of a GSR Badging Board?
The purpose of a GSR Badging Board is to badge analysts at their substantive grade and should not act as a promotion board. For example, an existing HEO Research Officer cannot be made into an SEO Senior Research Officer through a Badging Board while they are still in a HEO Research Officer role. Instead, candidates would have to apply for an SEO Senior Research Officer role and either get badged as part of the Recruitment Process, or once in post go through a Badging Board.
Can I retake the badging exercise if I failed the Knowledge Test?
If you failed the Knowledge Test, you can repeat it after having waited at least six months. In this period, the candidate should undertake development activities. HoPs can provide advice.
How can I apply for badging?
If badging potentially applies to you, you need to contact your GSR HoP for an initial chat and fill in a copy of the application form. The GSR HoP will review your application and, if you are eligible, will inform you about the next GSR Badging Board opportunity. If successful, your application form will be completed by the GSR HoP and sent to the GESR Team for processing.
What happens after badging?
If you have successfully passed the badging exercise, you can self-register on the GSR members website. There is no such a thing as a GSR membership certificate. Similarly, you will not receive a GSR membership number.
GSR Placement Student/Summer Student
I am a GSR Placement Student/Summer Student – can I become a GSR member?
Membership is only available to graduates who have come in through the approved Recruitment Route or Badging Route. Placement year students will be given the opportunity to apply for an approved recruitment route towards the end of their placement, the success of which will be conditional on them gaining a 2:1 degree, or 2:2 for Main Stream applicants, with sufficient social research methods content. Candidates applying for the 2025/2026 Placement Student scheme onwards will need to be on track to achieve a 2:2 degree.
I am a GSR Placement Student/Summer Student – can I volunteer in a T&F group without being a full GSR member?
Yes. You can volunteer for a T&F group during your placement if you are a sandwich student. If you are interested, please discuss with your GSR line manager who will put you in touch with the GSR Task and Finish Group Strand Leads.
CPD
Whose responsibility is CPD?
Maintaining CPD as a GSR professional is the responsibility of the individual for as long as they wish to retain their GSR membership. A minimum of 100 hours needs to be completed annually, with 50 hours covering social research related topics and the remaining 50 hours covering more general CPD requirements (e.g. which are relevant to role requirements/personal development). This is pro rata for part-time members.
What sort of activities count as CPD?
There are a number of things you can do to maintain CPD, including attending seminars and conferences on topics associated with social research, getting involved in GSR profession activities, volunteering for and leading task and finish groups, writing and delivering seminars/sessions on professional skills to help develop yourself and others, reviewing academic literature to explore developments in social research….the list is endless.
Who checks my CPD
GSR HoPs will provide an annual reminder during the annual membership audit regarding the CPD requirement. GSR HoPs and SPLs have the right to request any GSR member for evidence of their CPD. It is imperative that you keep a dated record of activities, reflections and lessons learnt, development points, hours completed, and any future CPD plans. The format of this record is up to the individual but should at least contain the previously mentioned areas.
Do I need to do CPD if I am in a non-analytical role?
If you are an existing GSR member and you move to a non-analytical role, you will need to complete and maintain your CPD to retain your GSR membership. If you wish to apply for a GSR role in the future, you may be asked to provide a copy of your CPD record for the time you have been in a non-analytical role.
Moving roles
What happens to my GSR membership if I move departments?
Membership status resides with the individual and can be retained if they move jobs within or to another core department or linked ALB/Agency. However, CPD records will need to be maintained and could be subject to annual review. If an individual moves to a non-analytical role and does not maintain relevant CPD, their membership may be revoked at the discretion of the departmental HoP. It is an individual member’s responsibility to ensure that they are aware of who their GSR HoP or SPL is, and make contact with them.
I am currently a GSR member volunteering on the Shadow Board (SB) . I am moving to a non-GSR organisation, can I retain my membership and continue to volunteer on the Shadow Board?
No. You cannot retain your membership if you are working in a non-GSR organisation, i.e., if you are working outside the Civil Service, or in a government body with no GSR presence (e.g., NHS). You may need to find a successor to continue your work in the Shadow Board when you leave GSR. New Shadow Board volunteers need to be GSR members.
I am a SRO and have recently been promoted to a G7 policy role, am I eligible to get a level transfer to a GSR G7 role?
No. If you have been promoted in a non-analytical role and later apply for a GSR role at your substantive grade, you will be required to demonstrate the relevant GSR standards during interview (in line with GSR recruitment principles) or at a Badging Board. Although you have been promoted into a G7 policy role, this does not mean that you have satisfied the GSR criteria to be a G7 GSR; to do so would require that there be a GSR assessor on your promotion panel. Until then, you will retain your GSR membership at the level you were badged at (i.e. SRO level). You may be asked to provide evidence that you continued to complete your CPD log during your time out of an analytical role. The length of time you may work in a non-GSR role before your membership expires varies depending on the type of role, and is at the discretion of the relevant Head of Profession (HoP)/ Senior Profession Lead (SPL). You should stay in touch with your HoP/SPL if you are keen to maintain your GSR membership.
GDPR
How will my membership data be used?
Application form data are used to confirm your eligibility for GSR membership, and will be entered into the GSR members’ database so that you receive the GSR Newsletter and other related opportunities within GSR/broader analytical professions. Data are gathered according to our membership privacy notice. Grade, gender identity and ethnicity are collected for the annual review of members to inform diversity statistics for reporting at the GSR Board.
Can I sign up to your mailing list without being a member?
No. You must be a GSR member to subscribe to our mailing list/newsletter, etc.
Acronyms
- GSR – Government Social Research
- HoP – Head of Profession
- SPL – Senior Professional Lead
- GESR – Government Economic and Social Research team – central support for Government Economists and Social Researchers
- Those applying to the GSR Social Research Scheme (graduate entry)
- Those graduating from the GSR Degree Apprenticeship Programme
- Those applying to the GSR Student Placement Scheme
Those applying to the GSR fast stream campaign which opens in September 2025 will need a 2:1 to apply.
-
NB: The 2:2 degree requirement will apply to all centralised recruitment schemes with the exception of the fast stream where a 2:1 degree is still required. Therefore, the 2:2 degree requirement applies to: ↩
-
GSR Senior Professional Lead is a position assigned by the core department GSR HoP within the linked ALB/Agency (see section entitled GSR HoP & GSR Senior Professional Lead) ↩
-
GSR applicants may be asked for certain information (e.g., degree, ethnicity, and socio-economic background), as this helps us for monitoring and evaluation purposes. However, they will be given the option not to provide this information if they do not want to. Please refer to GSR Privacy Notice on gov.uk for additional details. ↩
-
Pro rata for part-time workers ↩
-
If you do not currently hold this, it is your responsibility to obtain it from the university you attended as this will be required for evidence ↩
-
This guidance is under review with revised guidance due for publication in late 2019 ↩