Planning Inspectorate staff diversity official statistics 15 December 2022
Published 15 December 2022
Applies to England
1. Introduction
This statistical release provides summary information on the staff who work at the Planning Inspectorate (PINS). It describes the diversity characteristics of those staff and compares their pay.
This increases our transparency and accountability to our customers, stakeholders and the wider public, providing reliable information of our staff diversity. It will help those considering joining the organisation decide “is this the sort of organisation I want to work for?”. Over time, routine publication will enable anyone to see what progress has been made in increasing the diversity of the organisation. This publication also supports our obligations under the Public Sector Equality Duty to provide information on its workforce identified by the Equality Act 2010.
These statistics have been published to ensure everyone has equal access to the information and to support the Planning Inspectorate’s commitment to release information where possible.
This statistical bulletin provides:
- Number of staff as of 31st March 2022; split between Inspector Profession and other professions
- Information and declaration rates
- Staff Diversity by protected characteristics
- Comparison with Civil Service characteristics where possible
- How the above have changed over recent years
- How the protected characteristics relate to each other (whether they are independent)
The information provided describes the status as of 31st March 2022. This provides a consistent picture with other published information and allows comparison with other government bodies, particularly through the Annual Civil Service Employment Survey, which uses this date as its benchmark. It is also the basis of gender pay information published by the Cabinet Office.
The publication of these statistics also supports the implementation of the Planning Inspectorate’s People Strategy and specifically the underpinning Equality, Diversity, and Inclusion Strategy. The Inspectorate is committed to ensuring that everything it does is fair, inclusive and promotes diversity in characteristics and thought. The vision of the ED&I strategy is to better reflect the diverse makeup of its customers and ensure that everyone feels more included in the workplace, regardless of their own backgrounds. A diverse workforce that feels valued and included can be more creative and innovative, produce more solutions-focussed outputs, feel a greater sense of community, and provide a better customer experience.
This Release also includes commentary from the Inspectorate on work being carried out to increase diversity, including the Equality, Diversity, and Inclusion strategy.
The information in this bulletin, describing the statistics as of 31st March, does not reflect the current status of the organisation.
1.1 The Planning Inspectorate
The Planning Inspectorate makes decisions and provides recommendations and advice on a range of land use planning-related issues across England. This is done in a fair, open, and timely way.
The Planning Inspectorate deals with planning appeals, national infrastructure planning applications, examinations of local plans and other planning-related and specialist casework in England. The Planning Inspectorate is an executive agency, sponsored by the Department for Levelling Up, Housing and Communities.
2. Summary
The number of staff at the end of March 2022 was 803. This is a measure of headcount. Some of the staff worked part-time; and the full-time equivalent (FTE) count was 730.3.
There were 389 staff working in the Inspector Profession (most but not all of these are Planning Inspectors) – with a full-time equivalent of 345.8. This is less than half of the Inspectorate’s people – more work in support professions (414 headcount: 384.5 FTE), such as strategy, digital and data, human resources and finance.
Both headcount and FTE measures have been growing from 2018 to 2021. There was a fall in staff numbers in 2022 which is largely due to the staff and functions of Planning Inspectorate Wales transferring to Welsh Government.
More than half of staff are aged between 40 and 59, with 27% under 40. The median age of staff in the Planning Inspectorate is 48 years old.
Of those with recorded information, 8% of staff have a disability. This is slightly lower than previous years. 6% of staff identify as being from an ethnic minority background (not including white minorities). This is considerably below the civil service average of 15%. The proportion of ethnic minority staff has increased year on year since 2018.
The percentage of female staff in the Inspectorate is 46%, which has remained stable over recent years and is lower than the civil service, where 55% are female.
Most of the Planning Inspectorate’s people are either of no religion (55%) or Christian (42%). 3% of staff are of any other religions, with 1% of staff being Muslim, 1% Sikh and other religions having lower proportions.
Overall, 5% of staff identified as being lesbian, gay, bisexual or ‘other’. The civil service average is 6%. The number of LGBO staff has increased from 2018 to 2022 but the proportion has remained steady.
There were 252 people who worked part time in the planning inspectorate – that’s almost a third. The proportion working part time decreased from 2018 to 2021 but has risen again at 2022.
In general, the profile of people who work in the Inspector Profession is different from that of those in other professions. For example, comparing the Inspector Profession with other professions:
| Inspector Profession | Other Professions |
|---|---|
| Older (82% over 40; median age 51) | Younger (65% over 40; median age 45) |
| 5% disabled | 12% disabled |
| 2% minority (exc white minority) | 10% minority (exc white minority) |
| 37% Female | 54% Female |
| 50% Christian; 49% No religion; 2% Other | 33% Christian; 62% No religion; 5% Other |
| 30% attended state-run selective schools; 4% attended independent schools | 20% attended state-run selective schools; 3% attended independent schools |
| 40% work part time | 23% work part time |
The proportion of LGBO staff is similar for the Inspector Profession and other professions; there is also a similar profile in terms of parental qualifications. These figures summarise the characteristics of the Inspector Profession as a whole, but there is of course diversity within this group.
Results obtained through modelling pay via linear regression suggest that staff in the same job are paid equally, but that some protected characteristics such as gender, ethnicity, and disability status are not represented equally across grades.
3. Number of Staff and Professions
The number of staff at the end of March 2022 was 803. This is a measure of headcount. Some of the staff worked part-time; and the full-time equivalent count was 730.3.
Table 1 below shows the number of staff in the Planning Inspectorate as of 31/03/2022. This includes headcount (i.e., the number of different individuals) and full-time equivalents (FTE) where those working part time are counted in proportion with their contracted hours. There were 389 staff working in the Inspector Profession (not all of these are Planning Inspectors) – with a full-time equivalent of 345.8. This is less than half of the Inspectorate’s people – more work in support professions (414 headcount: 384.5 FTE) such as strategy, digital and data, human resources, and finance.
Note that the Inspector Profession includes Planning Inspectors and other staff – as such, the number in the Inspector Profession is not the same as the number of Planning Inspectors published in other places.
The Inspector Profession includes Appeals Planning Officers, who submit reports to Planning Inspectors recommending whether the appeal should be allowed or dismissed (Householder Planning Service and s78 Planning Appeals).
Appeals Planning Officers and Apprentice HEOs assist in processing and determining Planning, Enforcement, and a range of other appeals (Tree preservation / replacement, High Hedges and Hedgerow).
Information on the number of people in each of these roles is given in Table 3. Further detail is in Annex A.
Other professions comprise the following categories: Commercial, Communications, Digital, Data and Technology, Finance, Human Resources, Knowledge and Information Management, Legal, Operational Delivery, Planning, Project Delivery and Analysis. Operational Delivery, which includes Case Officers and Case Managers, represents 60% of other professions.
Table 1 – Number of Staff as of 31 March 2022 by Profession
| Profession | Headcount | FTE |
|---|---|---|
| Inspector Profession | 389 | 345.8 |
| Other Professions | 414 | 384.5 |
| Total | 803 | 730.3 |
Source: SAP HR
Figure 1 – Percentage of Staff by Profession (Headcount and Full Time Equivalent), As of 31 March 2022
Headcount

FTE

Source: SAP HR
Figure 2 and Table 2 below show the change in number of staff from 2017 to 2022. The increase in the number of staff between 2018 and 2021 was due to the Inspectorate’s organisation redesign process. This redesign was put in place to help the Inspectorate better deliver its strategic goals, better deliver for customers, and better support the Inspectorate’s staff in their careers. Prior to 30th September 2021 the Planning Inspectorate dealt with appeals both in England and Wales. There was a fall in both headcount and FTE in 2022 due to the staff and functions of Planning Inspectorate Wales transferring to Welsh Government
Figure 2 –Staff by Profession (Headcount and Full Time Equivalent), 2017 to 2022
Headcount

Full Time Equivalent

Source: SAP HR
Table 2 – Change in Number of Staff, 2017 to 2022
| Headcount | 2017 | 2018 | 2019 | 2020 | 2021 | 2022 |
|---|---|---|---|---|---|---|
| Total Staff | 671 | 678 | 747 | 812 | 855 | 803 |
| Inspector profession | 304 | 296 | 330 | 394 | 403 | 389 |
| Other profession | 367 | 382 | 417 | 418 | 452 | 414 |
| Full Time Equivalent | 2017 | 2018 | 2019 | 2020 | 2021 | 2022 |
| Total Staff (FTE) | 598.9 | 605.3 | 673.3 | 736.1 | 779.9 | 730.3 |
| Inspector Profession (FTE) | 259.4 | 253.3 | 288.2 | 348.8 | 358.4 | 345.8 |
| Other profession (FTE) | 339.5 | 352.0 | 385.2 | 387.2 | 421.5 | 384.5 |
Source: SAP HR; Note: Data as of 31/03 each year
Table 3 – Number of Staff by Grade as of 31 March 2022
| Grade | Headcount | FTE |
|---|---|---|
| Total | 803 | 730.3 |
| Apprentice HEO | 5 | 5.0 |
| Appeals Planning Officer | 12 | 11.5 |
| BAND 1 Inspector | 147 | 135.8 |
| BAND 2 Inspector | 123 | 107.3 |
| BAND 3 Inspector | 102 | 86.2 |
| Total Inspector Profession | 389 | 345.8 |
| Administrative Assistant (AA) | 6 | 4.9 |
| Administrative Officer (AO) | 137 | 125.0 |
| Executive Officer (EO) | 93 | 86.5 |
| Higher Executive Officer (HEO) | 77 | 70.7 |
| Senior Executive Officer (SEO) | 54 | 52.4 |
| Grade 7 | 30 | 28.6 |
| Grade 6 | 13 | 12.6 |
| Senior Civil Service | 4 | 4.0 |
| Total Other Professions | 414 | 384.5 |
Source: SAP HR
See Annex A for detail on the grades in the table above.
4. Information and Declaration Rates
The information in this release is drawn from the Planning Inspectorate’s Human Resources database (SAP).
In some instances, there is no record of someone’s personal characteristic. This can be for two main reasons:
- The Inspectorate has not asked the person about the characteristics, or
- The Inspectorate has asked, and the person has chosen the option of “prefer not to say”, (or similar) or chosen not to answer
Table 4 below shows the proportion of staff for whom the Planning Inspectorate hold information on different aspects of their personal information. The trend for this is upwards over time for every item except ethnicity.
Please note that all subsequent commentary and data give information limited to those on whom information is available. So, where a percentage is given (e.g., % with a disability) this excludes those staff (12% in this case) on whom this information is not held. This is potentially important, as those staff on whom no information is held may have a different profile – so the percentage given may not fully reflect the profile across all staff.
Table 4: Percentage of employees with recorded personal characteristics, 2018 - 2022
| Characteristic | 2018 | 2019 | 2020 | 2021 | 2022 |
|---|---|---|---|---|---|
| Disability | 51% | 51% | 61% | 78% | 80% |
| Ethnicity | 86% | 77% | 78% | 86% | 86% |
| Religion | 46% | 48% | 58% | 71% | 73% |
| Sexual Orientation | 49% | 50% | 59% | 72% | 74% |
Source: SAP HR; Data as of 31/03 each year
Note: All staff are required to disclose their sex, age and working pattern, thus information on these is recorded for 100% of employees.
Figure 3: Percentage of employees with recorded personal characteristics, 2018 - 2022

Source: SAP HR; Note: Data as of 31/03 each year.
Note: All staff are required to disclose their sex, age and working pattern are thus information on these is recorded for 100% of employees.
Also included in this publication is data on socio-economic characteristics. This is collected via a survey. Further information is included in the Background Quality Report.
The number of staff who did not to provide the Planning Inspectorate with their protected characteristics were comparable with rates for the wider Civil Service (Civil Service declaration rates, Disability 81.7%, Ethnicity 85.8%, Religion 78.4%, Sexual Orientation 79.3% ).
4.1 Non-disclosing employees
For all employees who have no record for at least two of the protected characteristics above, 19.3% have been employed at the Planning Inspectorate for fewer than two years. A further 13.3% have been employed for between two and four years.
These employees have a range of grades, but the largest proportions are AO (24.8%), Band 1 (18.9%), Band 2 (14.4%), EO (11.9%) and Band 3 (9.6%). There are more male (59.3%) than female (40.7%) employees who have two or more non-disclosed personal characteristics. Furthermore, two or more non-disclosed personal characteristics are more common for employees who are forty and above; 27% are aged 40-49, 30.7% aged 50-59, and 19.6% aged 60+, compared to 8.1% who are 16-29 and 14.4% aged 30-39.
Figure 4: Number of years employed for staff who have no record for two or more personal characteristics in 2022, as a percentage

Source: SAP HR
5. Staff Diversity by Protected Characteristics
What follows is a breakdown of staff by various protected characteristics. This is presented in alphabetical order. Each section gives a figure for the Planning Inspectorate as a whole; and then gives separate figures for Inspectors and other professions, further split by grade groups. This is to help understand whether the characteristics apply evenly across all staff. Later sections of this bulletin explore how the factors relate to each other in more depth.
5.1 Age
Table 5 below shows the age profile of staff in the Planning Inspectorate.
The median age of all staff is 47.7 years – 27% are under 40 and 73% are 40 and above. In the Inspector Profession the age profile is somewhat older, with a median age of 51.0 years, 18% under 40 and 82% aged 40 and over. Conversely in other professions staff have a younger profile. The median age is 45.0 years and 35% are under 40, 65% are 40 and above.
Table 5 – Age of Planning Inspectorate Staff as of 31 March 2022a
| Median Age | 16-29 | 30-39 | 40-49 | 50-59 | 60+ | |
|---|---|---|---|---|---|---|
| Total | 47.7 | 8% | 19% | 30% | 29% | 15% |
| BAND 1 | 43.7 | 5% | 27% | 37% | 23% | 7% |
| BAND 2 | 55.0 | 0% | 8% | 27% | 37% | 28% |
| BAND 3 | 55.1 | 0% | 7% | 23% | 37% | 33% |
| Inspector Profession Total | 51.0 | 2% | 16% | 29% | 32% | 21% |
| AA/AO | 43.2 | 24% | 20% | 19% | 24% | 13% |
| EO/HEO/SEO | 44.9 | 9%-10% | 22% | 35% | 26% | 6%-7% |
| G7/G6/SCS | 47.0 | ~% | 19% | 45% | 30% | ~% |
| Other Profession Total | 45.0 | 14% | 21% | 30% | 26% | 9% |
Source: SAP HR
a. Due to rounding, percentages might not add to 100%.
b. ~ indicates a supressed figure. See Confidentiality and Transparency for more detail.
Compared to the civil service, Planning Inspectorate Staff are older. For example:
- 17% of all civil servants are under 30; 8% of Planning Inspectorate staff.
- 39% of all civil servants are over 50; 44% of Planning Inspectorate staff.
- 11% of all civil servants are over 60; 15% of Planning Inspectorate staff.
Table 6 – Staff Age Profile: Planning inspectorate and Civil Service, Mar 2022a
| 16-29 | 30-39 | 40-49 | 50-59 | 60 and over | |
|---|---|---|---|---|---|
| Planning Inspectorate | 8% | 19% | 30% | 29% | 15% |
| Civil Service | 17% | 22% | 23% | 28% | 11% |
a. Due to rounding, percentages might not add to 100%.
Over the last five years, the Inspectorate has a similar shaped age profile of its staff (Figure 5).
Figure 5 - Age of Planning Inspectorate Staff by Headcount and Year, 2018-2022

Source: SAP HR; Note: Data as of 31/03 each year
5.2 Disability
Table 7 below shows the number of Planning Inspectorate staff declaring themselves as having a disability. In total, 8% of staff have a disability; with 5% of Inspector grades having a disability, and 12% of other professions.
Disability is higher among lower grade staff – with 21% of AAs and AOs (the lowest grades) having a disability, compared with 9% of EO-SEO grades and a lower percentage still of senior managers (Grade 7 and above) having a disability (Figure 6). The same level of disparity is not seen in disability rates across the Inspector grades.
The Planning Inspectorate’s overall disability rate of 8% is below the overall Civil Service rate of 14% (2022).
Table 7 – Planning Inspectorate Staff Declaring Disability as of 31 March 22
| % Disabled | No | Yes | Total | |
|---|---|---|---|---|
| Total | 8% | 590 | 54 | 644 |
| Inspector Profession Total | 12% | 295 | 14 | 335 |
| BAND 1 /APO /APP HEO | ~% | 118-121 | 5-8 | 126 |
| BAND 2 | ~% | 96-99 | <5 | 100 |
| BAND 3 | 6% | 78 | 5 | 83 |
| Other Professions Total | 12% | 295 | 40 | 335 |
| AA/AO | 21% | 88 | 23 | 111 |
| EO/HEO/SEO | ~% | 165-168 | 13-16 | 181 |
| G7/G6/SCS | ~% | 39-42 | <5 | 43 |
Source: SAP HR
~ indicates a supressed figure. See Confidentiality and Transparency for more detail.
Figure 6 - Percentage of Staff Disabled as of 31 March 22

Source: SAP HR
The number of people with a disability has increased from 2018 to 2022 but the percentage of staff with a disability has reduced from a high of 10.4% in 2019 to 8.4% in 2022 (Table 8). Disclosure rates have increased from 51% to 80% over the period and it is not possible to say whether there has been a genuine reduction in the percentage of staff with a disability or increased disclosure rates among those who do not consider themselves to have a disability.
Table 8 – Change in Number and Percentage of Staff with Disability, 2018 – 2022
| Number of Disabled Employees | 2018 | 2019 | 2020 | 2021 | 2022 |
|---|---|---|---|---|---|
| Total | 33 | 40 | 46 | 58 | 54 |
| Inspector Profession | 7 | 11 | 11 | 14 | 14 |
| Other Professions | 26 | 29 | 35 | 44 | 40 |
| % Disabled (of total disclosed) | 2018 | 2019 | 2020 | 2021 | 2022 |
| Total | 9.5% | 10.4% | 9.3% | 8.7% | 8.4% |
| Inspector Profession | 6.5% | 8.1% | 5.1% | 4.5% | 4.5% |
| Other Professions | 10.9% | 11.7% | 12.6% | 12.3% | 11.9% |
Source: SAP HR; Note: Data as of 31/03 each year
5.3 Ethnicity
Ethnic minorities (excluding white minorities) is the currently used terminology replacing the term BAME.
White (including white minorities): is the currently used terminology replacing the term White.
The Planning Inspectorate does not currently collect data on the representation of white minorities
Overall, 6% of Planning Inspectorate staff identify as being from an ethnic minority background (excluding white minorities). This is considerably below the civil service average of 15%.
A lower proportion of Inspectors (2%) identify as being from an ethnic minority background than do other professions (8%). The AAs and AO grade group has the highest representation of people from ethnic minority backgrounds.
Figure 7: Percentage of Staff of Minority Ethnicity (excl White Minority) as of 31 March 22

Source: SAP HR
Table 9 – Planning Inspectorate Staff Ethnicity as of 31 March 22
| % Minority (Excl white minority) | White (inc white minority) | Minority (Excl white minority) | Total | |
|---|---|---|---|---|
| Total | 6% | 652 | 42 | 694 |
| Other Professional Total | 10% | 322 | 36 | 358 |
| AA/AO | 14% | 104 | 17 | 121 |
| EO/HEO/SEO | ~% | 176-179 | 15-18 | 194 |
| G7/G6/SCS | ~% | 39-42 | <5 | 43 |
| Inspector Total | 2% | 330 | 6 | 336 |
Source: SAP HR
~ indicates a supressed figure. See Confidentiality and Transparency for more detail.
Table 10 below shows the ethnic groups of staff from an ethnic minority background within the planning inspectorate. The largest group is Asian (15 people) followed by people with mixed ethnic background (13 people).
It is not practical to break these down further without risking disclosing personal information about individuals, who have not given their consent to this disclosure.
Table 10 - Ethnicity of staff from an ethnic minority background, as of 31 March 22
| Ethnicity | Number of Staff |
|---|---|
| Asian | 15 |
| Black | 9 |
| Chinese | Fewer than 5 |
| Mixed | 13 |
| Other | Fewer than 5 |
| Total | 42 |
Source: SAP HR
Both the number and percentage of staff from an ethnic minority background has risen over the last 5 years (Figure 8 & Table 11).
Table 11 – Number and Percentage of Ethnic Minority Background Staff, 2018 to 2022
| Number of minority(exc white minority) Staff | 2018 | 2019 | 2020 | 2021 | 2022 |
|---|---|---|---|---|---|
| Total | 17 | 19 | 22 | 37 | 42 |
| Inspector Profession | <5 | <5 | <5 | 8 | 6 |
| Other Professions | Dec-17 | 14-19 | 17-22 | 29 | 36 |
| % minority (exc white minority) (of total disclosed) | 2018 | 2019 | 2020 | 2021 | 2022 |
| Total | 2.90% | 3.30% | 3.50% | 5.00% | 6.10% |
| Inspector Profession | <2% | <2% | <2% | 2.30% | 1.80% |
| Other Professions | 3.90% | 4.60% | 5.40% | 7.50% | 10.10% |
Source: SAP HR; Note: Data as of 31/03 each year
Figure 8 - Number and Percentage of staff from an ethnic minority background, 2018 to 2022
Number of Staff

Percentage of Staff

Source: SAP HR
5.4 Sex
Table 12 and Figure 9 below show the sex (as registered at birth) of staff within the Planning Inspectorate. All references below to female or male staff are based on their sex, as this is the only gender data recorded. 46% of staff are female, which is lower than the civil service as a whole, where 55% are female. 37% of the Inspector profession are female; this is lower than the other professions, where over half (54%, akin to the civil service average) are female. Within the other professions, the highest percentage of females is in the lowest grade staff (62% of AA/ AO staff are female).
Table 12: Planning Inspectorate staff by sex as of 31 March 2022
| % Female | Female | Male | Total | |
|---|---|---|---|---|
| Total | 46% | 367 | 436 | 803 |
| Other Professional Total | 54% | 224 | 190 | 414 |
| AA/AO | 62% | 89 | 54 | 143 |
| EO/HEO/SEO | 49% | 109 | 115 | 224 |
| G7/G6/SCS | 55% | 26 | 21 | 47 |
| Inspector Total | 37% | 143 | 246 | 389 |
| Band 1 /APO /APP HEO | 40% | 65 | 99 | 164 |
| Band 2 | 31% | 38 | 85 | 123 |
| Band 3 | 39% | 40 | 62 | 102 |
Source: SAP HR
Figure 9 - Percentage of Staff Female as of 31 March 2022

Source: SAP HR
The percentage of female staff in the Inspectorate has remained relatively stable over the past 5 years. The number of female staff employed has risen over the same period. (Figure 10 & Table 13).
Table 13 – Number and Percentage of Female Staff, 2018 – 2022
| Number of Female Staff | 2018 | 2019 | 2020 | 2021 | 2022 |
|---|---|---|---|---|---|
| Total | 306 | 345 | 358 | 384 | 367 |
| Inspector Profession | 106 | 115 | 139 | 144 | 143 |
| Other Professions | 200 | 230 | 219 | 240 | 224 |
| % Female | 2018 | 2019 | 2020 | 2021 | 2022 |
| Total | 45.1% | 46.2% | 44.1% | 44.9% | 45.7% |
| Inspector Profession | 35.8% | 34.8% | 35.3% | 35.7% | 36.8% |
| Other Professions | 52.4% | 55.2% | 52.4% | 53.1% | 54.1% |
Source: SAP HR Note: Data as of 31/03 each year
Figure 10 - Number and Percentage of Female Staff, 2018 to 2022
Headcount of Female Staff

Percentage of Female Staff

Source: SAP HR
5.5 Religion/ Belief
Where staff have declared their religion, most are either of no religion (45%) or Christian (42%). 3% of staff are of any other religions, with 1% of staff being Muslim, 1% Sikh and other religions having lower proportions: there are fewer than 10 staff of each of these religions (see Figure 11 and Table 12 below).
As a contrast, across the Civil Service, 46% of staff are Christian; 41% are of No Religion; and 13% Other.
Figure 11 - Religion of Planning Inspectorate Staff as of 31 March 2022

Source: SAP HR
Table 14 - Planning Inspectorate staff by Religion as of 31 March 2022
| Religion | % of Staff | Number of staff |
|---|---|---|
| None | 45% | 263 |
| Christian | 42% | 245 |
| Atheist | 7% | 39 |
| Agnostic | 4% | 21 |
| Muslim | 1% | 7 |
| Sikh | 1% | 5 |
| Other* | 1% | 8 |
| Total | 588 |
Source: SAP HR
Note: *other includes any other religious group where fewer than 5 staff members have disclosed that religion.
Table 15 – Change in Percentage of Staff, 2018 – 2022
| Number Christian | 2018 | 2019 | 2020 | 2021 | 2022 |
|---|---|---|---|---|---|
| Total | 42% | 43% | 44% | 40% | 42% |
| Inspector Profession | 51% | 51% | 51% | 50% | 50% |
| Other Professions | 30% | 32% | 35% | 30% | 33% |
| Number Other Religion | 2018 | 2019 | 2020 | 2021 | 2022 |
| Total | 5% | 4% | 4% | 4% | 3% |
| Inspector Profession | <3% | <3% | 3% | 2% | 2% |
| Other Professions | 9% | 7% | 6% | 7% | 5% |
| Number No Religion | 2018 | 2019 | 2020 | 2021 | 2022 |
| Total | 54% | 53% | 52% | 55% | 55% |
| Inspector Profession | 47% | 48% | 47% | 48% | 49% |
| Other Professions | 61% | 61% | 59% | 64% | 62% |
Source: SAP HR; Note: Data as of 31/03 each year
Note: No Religion includes None, Atheist and Agnostic.
5.6 Sexual Orientation
Table 16 below shows the sexual orientation of Planning Inspectorate staff. Overall, 5% of staff identify as being lesbian, gay, bisexual or other (LGBO). This is below the civil service average of 6%.
The proportions are similar across Inspectors and other professions. Further inference is limited due to the risk of disclosure.
Table 16 – Planning Inspectorate Staff Sexual Orientation as of 31/3/22
| % LGBO | Heterosexual/ Straight | LGBO | Total | |
|---|---|---|---|---|
| Total | 5% | 562 | 32 | 594 |
| Other Professional Total | 6% | 268 | 18 | 286 |
| AA/AO | 6% | 74 | 5 | 79 |
| EO/HEO/SEO | 5-7% | 153-156 | 9-12 | 165 |
| G7/G6/SCS | ~% | 38-41 | <5 | 42 |
| Inspector Total | 5% | 294 | 14 | 308 |
| BAND 1 / APO / APP HEO | 6% | 118 | 8 | 126 |
| BAND 2 | ~% | 92-95 | <5 | 96 |
| BAND 3 | ~% | 82-85 | <5 | 86 |
Source: SAP HR
~ indicates a supressed figure. See Confidentiality and Transparency for more detail.
In 2022 there are 32 staff who identify as being lesbian, gay, bisexual or other sexuality (not including heterosexual) (Table 17). The figures for 2018-2021 do not include staff identifying as ‘other’ so cannot be compared with 2022.
Table 17 – Change in Number and Percentage of Staff LGB, 2018 – 2021
| Number of LGB Employees | 2018 | 2019 | 2020 | 2021 |
|---|---|---|---|---|
| Total | 13 | 19 | 18 | 23 |
| Inspector Profession | 5 | 9 | 8 | 10 |
| Other Professions | 8 | 10 | 10 | 13 |
| % LGB (of total disclosed) | 2018 | 2019 | 2020 | 2021 |
| Total | 3.90% | 5.10% | 3.80% | 3.80% |
| Inspector Profession | 2.80% | 4.30% | 2.90% | 3.10% |
| Other Professions | 5.20% | 6.10% | 5.00% | 4.40% |
Source: SAP HR; Note: Data as of 31/03 each year
5.7 Socio-economic Background
Statistics on the socio-economic background of the Inspectorate’s staff helps the Inspectorate understand and address barriers to social mobility. Two elements of socio-economic background are included.
Table 18 below shows how people in the Planning inspectorate were educated. The majority (62%) attended state-run, non-selective schools; a further 24% attended state-run selective schools.
A higher proportion of those in the Inspector profession attended state-run selective schools (28%) and independent schools (10%) than those in the other professions (19% and 8%).
Table 18 – Education of Planning Inspectorate Staff, 2022
| Education | Insp. profession | Insp % | Other profession | Other % | Total | Total % |
|---|---|---|---|---|---|---|
| State run – non-selective | 167 | 57% | 186 | 66% | 353 | 62% |
| State run - selective | 83 | 28% | 54 | 19% | 137 | 24% |
| Independent | 29 | 10% | 23 | 8% | 52 | 9% |
| Other (including outside UK) | 13 | 4% | 17 | 6% | 30 | 5% |
| Prefer not to say/ Not known | 97 | 134 | 231 |
Source: SAP HR
As seen in Table 19 below, 40% of those in the Planning Inspectorate have a parent with a degree or higher. A further 43% have one or both parents with a qualification below degree level. There were 17% of staff whose parents did not have a formal qualification. There is little difference in these proportions when comparing the inspector profession to other professions.
Table 19 – Parental Qualification of Planning Inspectorate Staff, 2022
| Parental Qualification | Insp. profession | Insp % | Other profession | Other % | Total | Total % |
|---|---|---|---|---|---|---|
| At least degree | 117 | 43% | 89 | 37% | 206 | 40% |
| Qualification below degree | 105 | 38% | 116 | 48% | 221 | 43% |
| No formal qualification | 51 | 19% | 35 | 15% | 86 | 17% |
| Prefer not to say/ Not known | 116 | 174 | 290 |
Source: SAP HR
Note: Excludes individuals who answered “other”
5.8 Working Pattern (full time/ part-time)
The proportion of staff working part-time is higher among Inspectors (40%) than among other professions (23%). More detail is given in Table 20 below. This shows that both the number and proportion of staff working part-time has been relatively steady between 2019 and 2022.
Table 20 – Change in Number and Percentage of Staff working Part Time, 2018 – 2022
| Number of Part time Employees | 2018 | 2019 | 2020 | 2021 | 2022 |
|---|---|---|---|---|---|
| Total | 235 | 242 | 257 | 256 | 252 |
| Inspector Profession | 145 | 143 | 159 | 157 | 155 |
| Other Professions | 90 | 99 | 98 | 99 | 97 |
| % Part time | 2018 | 2019 | 2020 | 2021 | 2022 |
| Total | 34.7% | 32.4% | 31.7% | 29.9% | 31.4% |
| Inspector Profession | 49.0% | 43.3% | 40.4% | 39.0% | 39.8% |
| Other Professions | 23.6% | 23.7% | 23.4% | 21.9% | 23.4% |
Source: SAP HR Note: Data as of 31/03 each year
6. How Characteristics Relate
The section above looked at staff numbers by characteristic, with each factor looked at independently of the others. This section looks at whether those characteristics are independent or linked.
A series of statistical tests have been carried out to test whether there is any link between different aspects of diversity. These are detailed at Annex B; and in the Background Quality Report.
Many of the characteristics do have a link, with some examples given below. Whether someone is in the Inspector Profession is clearly an important factor in relation to diversity. There is a significant difference in profiles between Inspectors and other professions, for: age; disability; ethnicity, sex, religion; and working pattern. The only characteristic which shows no difference across professions is sexual orientation (meaning Inspectors are no more or less likely to be LGBO than other professions).
Note that the results do not mean that one factor causes the difference in the other – there can be very complex explanations to the lack of independence, for instance both being related to a third factor. Also, because the numbers in some groups is low, small differences in reporting, even by just one person, can have an impact on the tests.
Some of the results are shown below – note that not all characteristics found to be related are shown.
| Significant results | Finding |
|---|---|
| Ethnicity and profession | Inspector professions less likely to be from an ethnic minority background; other professions less likely |
| Disability and profession | Inspector profession less likely to have a disability; other professions more likely to have a disability |
| Religion and Profession | Inspector profession disproportionately higher numbers Christian; disproportionately fewer atheist/ agnostic/ no religion and fewer other religions. |
| Work Pattern and Inspector Grade | Band 1 more likely to work full time; Band 3 more likely to work part time. |
| Sex and other Professional Grade | AA/AO more likely to be female; EO/HEO/SEO more likely to be male. |
| Disability and other Professional Grade | AA/AO more likely to be disabled and other grade groups less so |
The following aspects of diversity were found to be independent of each other – meaning there was no evidence to suggest the characteristics are related. For example, an Inspector’s grade is not related to their sex.
| Found to be independent when tested | Found to be independent when tested |
|---|---|
| Profession and Sexual orientation | Profession and parental qualification |
| Inspector grade and sex | Inspector grade and parental qualification |
| Inspector grade and school attended | Other professional grade and work pattern |
| Other professional grade and parental qualification |
Some relationships could not be included in the tables above because the low numbers expected in some groups makes the statistical test used (Chi-squared test) unreliable.
6.1 Diversity Clusters
Repeating a similar process to last year’s release, additional insight into the relationships between characteristics has been sought out via cluster analysis. This can be helpful in identifying complex underlying patterns which are not obvious when looking at the characteristics one at a time. Twelve groups are identified in Figure 12, which provides an infographic representation of the clustering results. Group number, colour, and position is arbitrary.
Figure 12: Groups of employees identified by clustering analysis, using data from 2022

Source: SAP HR
Note: For cluster analysis and regression analysis ‘Independent or fee-paying school – no bursary’ was included in the Not Known category.
To prevent the figure from being overcrowded with text, only the majority instances – with a few exceptions – have been displayed. Note that it is not compulsory for employees to disclose any information relating to protected characteristics, so the cluster descriptions do not give complete information. For example, Group 8 consisting of 82% non-disabled does not necessarily imply that the remaining 12% are all disabled.
The clustering algorithm has leaned significantly on certain variables: sex; part time or full time; inspector or support; and years of service. All other variables tend to be fairly equal in representation across all clusters, such as disability status, ethnicity, and sexual orientation. Nevertheless, these clusters highlight several interesting observations:
- Groups 3, 4, 5, 9, 10, and 11 are dominated by inspectors, with groups 4, 9, 10, and 11 being predominantly male, and group 5 being predominantly female. Group 3 doesn’t feature a clear majority.
- There is a distinct group of mostly non-inspector (support) female employees in the AA/AO grades who work part time and have over 10 years of service. This is seen in Group 2.
- Group 11 has identified a group of full-time male inspectors who are relatively new in service. This is consistent with 97% of them being Band 1.
- Several clusters have been identified where many employees have chosen not to disclose multiple characteristics. Employees for whom two or more characteristics are predominantly unknown fall into four groups:
- Group 2 have unknown values for religion and school type.
- Group 6 have unknown values for religion, sexual orientation, school type, and highest parent qualification.
- Group 9 has unknown values for disability status, ethnicity, religion, sexual orientation, school type, and highest parent qualification.
- Group 12 have unknown values for ethnicity, religion, sexual orientation, school type, and highest parent qualification. • Both groups 9 and 12 contain a large percentage or relatively new employees (0-4 years of service) at 62% and 70% respectively, suggesting that newer employees are more reluctant to disclose non-compulsory characteristics.
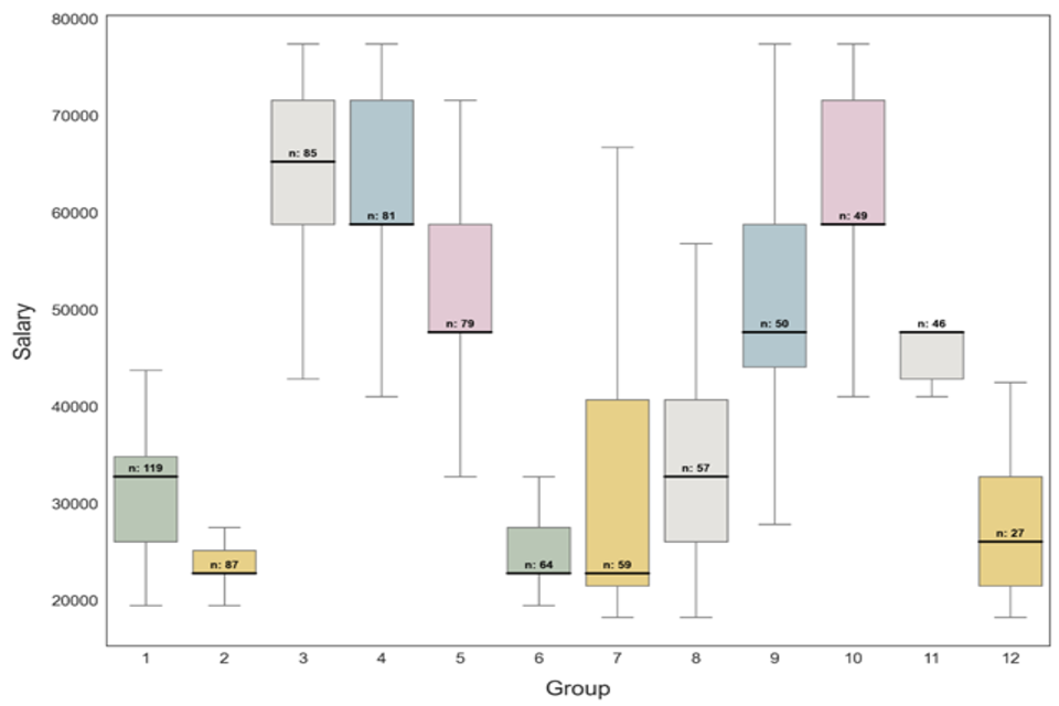
The distribution of salary per group is also investigated, as seen in Figure 13, where boxplots have been assigned the same colour as their respective clusters. Datapoints lying outside 1.5 times the interquartile range have been omitted from the figure for disclosure reasons. Salary is taken to be the full-time equivalent pay in £ per year.
Note that the y-axis does not start from zero and the number of people per group is specified above the median line. Some boxes do not appear to feature a median line because the median is either the same, or very close to, the lower or upper quartile. The median line has been made bold to make these instances visible.
Figure 13: Salary distributions of grouped employees identified by clustering analysis, using data from 2022.

Source: SAP HR
Note: For cluster analysis and regression analysis ‘Independent or fee-paying school – no bursary’ was included in the Not Known category.
The distribution of salary is different across the identified groups. There are some factors that are reasonably expected to affect salary, such as grade and tenure, while some factors should be unrelated, such as disability status and ethnicity.
6.2 Modelling Pay Using Linear Regression
To further investigate whether any statistically significant conditional relationships exist between pay and protected characteristics, a log-linear regression is used to model pay as a function of numerous variables.
Two separate regression models are fitted – one accounting for grade and one that doesn’t – with the expectation that the model accounting for grade will have a good fit to the data and no protected characteristics will be statistically significant. If any such characteristics are determined to be statistically significant, this will be evidence to suggest that there is a pay disparity within grade that can be predicted using these characteristics. It is important that all protected characteristics in the model not accounting for grade will also not be statistically significant.
Aside from the variable const (the intercept) all other values can be interpreted as the percentage change in pay, conditional on all other variables. For continuous variables, this is relative to a one-unit increase, for categorical variables, this is relative to the reference cases which in this instance are:
- Gender = Male
- Grade = AA
- Ethnicity = White
- Religion = Atheist/Agnostic
- Disability = None
- Sexual Orientation = Heterosexual
- School Group = State run (non-selective)
- Highest Parental Qualification = No formal qualification
From the first table in Annex C, several protected characteristics appear as statistically significant in modelling salary when grade isn’t controlled for; gender, ethnicity, and disability status. However, as seen in the second table, all protected characteristics are no longer significant in predicting salary once grade has been controlled for, suggesting there is no evidence for pay disparity within grades that can be predicted using protected characteristics. The significance observed in the uncontrolled model could be due to these characteristics acting as a proxy for grade. It is also worth noting that the grade-controlled model has an exceptionally good fit, with an r-squared of 0.99.
Overall, the difference in these two models suggests that people in the same job are paid equally, but that some characteristics such as gender, ethnicity, and disability status are not represented equally across grades, as is consistent with the figures seen in sections 2, 3, and 4 in “Staff Diversity by Protected Characteristics”.
7. Approach to Equality, Diversity and Inclusion
The following section has been supplied by the Inspectorate’s Human Resources team, to give context to the statistics and an indication of the Inspectorate’s approach.
In September 2020 the Planning Inspectorate launched its five year Equality, Diversity and Inclusion approach and plan. This was developed using the data available to us about our employees, our vision of where we would like to be in 5 years’ time and following best practice from the Chartered Institute of Personnel and Development (CIPD).
We recognise that this approach is only the start of our journey. It is very clear that we are not yet the diverse organisation we would wish to be but we have made some foundational and fundamental steps towards improving this in the last couple of years.
Our Executive Team have continued to make Equality, Diversity and Inclusion a key priority in the business plan throughout 22/23 and it will continue to be a priority whilst we continue to embed this into our organisational culture.
With this in mind we have carried out a number of diversity and inclusion activities in the last year:
- Recruitment of a dedicated ED&I Officer to support in delivery of our ED&I strategy.
- Introduction of a strategic workforce plan for our Operations Directorate with a strong focus on improving representation across operational delivery and Planning Inspector roles.
- Continued promotion of our employee networks, as well as support for new networks focused on Race and LGBTQQ+. We have seen promising growth and real momentum from several networks over the past year.
- Resources have been dedicated to our work on Apprenticeships and Outreach.
- A reduction in the Planning Inspectorate gender pay gap figures, contributed to by increases in recruitment of female Planning Inspectors, a great signal for the profession.
- Introduction of gender balanced interview panels by default.
- Celebration of National Inclusion Week and Black History Month across the organisation and participation in Bristol Pride.
- Delivery on recommendations resulting from partnership with the Stonewall Workplace Equality Index with a particular focus on updating people policies. This included the addition of a people policy feedback mechanism for ensuring our people policies are wholly inclusive.
- Establishment of the a Working Group dedicated to continued delivery of the Stonewall action plan.
- We also signed the Race at Work Charter, making a commitment to our employees from minority ethnic backgrounds.
There is still so much to do to drive the diversity and inclusion agenda forward. We have undertaken a lot of activity in the last year, however we understand that we must continue this work if we want to meet our diversity and inclusion targets. We are committed to continually prioritising ED&I to ensure this happens.
8. Data Sources
The statistics provided in this publication has used data from:
SAP HR – The Human Resources system database used to store all information regarding members of staff. This data source has been used to provide statistics on the demographics and Socio-economic background of staff employed by the Planning Inspectorate as at 31 March 2022.
Note that where information is based on self reporting, there is the possibility of mis-reporting (whether accidental or deliberate) While this is considered unlikely to be widespread, where percentages are very low, a small number of individuals would have noticeable impacts on the results. Thus the impact of mis-reporting on these figures could be high.
The Inspectorate regularly review the quality of information held and will continue to encourage regular updates by their employees, however an element of non-response can still be expected.
9. Definitions
Glossary
| Term | Explanation |
|---|---|
| Ethnic Minority | Person identifying themselves as being from an ethnic minority background, in this case not including white minority backgrounds |
| Disability | The Equality Act 2010 defines disability as a physical or a mental condition which has a substantial and long-term impact on your ability to do normal day to day activities. |
| Disability | The SAP HR system asked staff to select if they are disabled or not disabled. The Equality Act definition was not provided, and therefore there may be some under-reporting. |
| Full Time | See Working Pattern |
| FTE | Full Time Equivalent – a count of employees where those working part time are counted in proportion with their contracted hours. |
| Headcount | Total number of staff employed regardless of how many hours they work (i.e. the number of different individuals). |
| Inspector Profession | This includes Planning Inspectors, Appeals Planning Officers, and Apprentice HEOs. |
| LGBO | Lesbian, gay, bisexual, other |
| Part Time | See Working Pattern |
| Protected Characteristic | A characteristic protected by the 2010 Equality Act. These include age, disability, ethnicity, religion or belief, sex and sexual orientation. |
| SAP | The Planning Inspectorate’s Human Resources database |
| Working Pattern | A full time member of staff is one contracted to work 37 hours a week throughout the year. |
| Working Pattern | Staff contracted to work less than 37 hours a week, or not contracted to work for the whole year, are part time. |
9.1 Compliance with the Code of Practice for Statistics
These statistics have been published in accordance with the Code of Practice for Statistics, which cover trustworthiness, quality, and value. They have been pre-announced, and publication is overseen by the Head of Profession.
9.2 Confidentiality and transparency
The tables in the report were scrutinised to ensure individual identities were not revealed inadvertently. Suppression has been applied to ensure individuals were not inadvertently identified dependent on their risk of exposure. Numbers less than five and the related percentages were suppressed and presented as ‘<5’ and ‘~%’. Where there was only one cell in a row or column that was less than five, the next smallest number (or numbers where there are tied values) was also suppressed or a range of values were presented so that numbers cannot simply be derived from totals.
9.3 Technical Notes
A Background Quality Report is published alongside this Statistical Release. It provides more detail on the quality of statistics in this publication.
10. Future Statistics
10.1 Forthcoming statistical releases
Information on Gender Pay Gap was published by the Cabinet Office in November.
Some of the data provided in this release is also available in the Annual Civil Service Employment Statistics
Annual Civil Service Employment Statistics
The Planning Inspectorate publish statistics on casework (mostly appeals) each month. The next such statistics will be published on the 22nd December.
10.2 Feedback and enquiries
The Planning Inspectorate welcome feedback on our statistical products. If you have any comments or questions about this publication or about our statistics in general, you can contact us as follows:
Public enquiries email statistics@planninginspectorate.gov.uk
Media enquiries 0303 444 5004
email press.office@planninginspectorate.gov.uk
Please note we are always looking for opportunities to improve our statistics with a view to making them as clear and helpful as possible for users. We would be delighted if you could contact us via the address below with any views on this approach; particularly on what content would be most useful and why.
email statistics@planninginspectorate.gov.uk
If you require information which is not available within this or other available publications, you may wish to submit a Request for Information under the Freedom of Information Act 2000 to the Planning Inspectorate. For more information, see: https://www.gov.uk/make-a-freedom-of-information-request/the-freedom-of-information-act
11. Annex A - Grades within The Planning Inspectorate
Included within the Planning Profession:
(From most senior to most junior)
| Grade | Description |
|---|---|
| Band 3 | Band 3 Planning Inspector (Highest level of Inspector) |
| Band 2 | Band 2 Planning Inspector |
| Band 1 | Band 1 Planning Inspector |
| APO | Appeals Planning Officer |
| APP HEO | Apprentice Higher Executive Officer |
Included within other Professions:
(From most senior to most junior)
| Grade | Description |
|---|---|
| G5+ | Senior Civil Servant - Planning Inspectorate CEO and Directors |
| G6 | Grade 6 Senior Manager |
| G7 | Grade 7 Senior Manager |
| SEO | Senior Executive Officer |
| HEO | Higher Executive Officer |
| EO | Executive Officer |
| AO | Administrative Officer |
| AA | Administrative Assistant |
12. Annex B - Tests of Independance of Diversity Characteristics
The table below shows whether there is a significant result when Chi-squared tests for independence was carried out (indicated by Y); or whether the factors were found to be independent (indicated by N). Some relationships could not be tested because there would not be sufficiently large expected values for each group to support the use of Chi-square.
| Age | Disability | Ethnicity | Sex | Religion | Sexual Orientation | Socio-Economic: School | Socio-Economic: Parental Qual. | Working Pattern | |
|---|---|---|---|---|---|---|---|---|---|
| Profession | Y | Y | Y | Y | Y | N | Y | N | Y |
| Inspector Grade | N | N | N | Y | |||||
| Other Professional Grade | Y | Y | N | N |
13. Regression Variables and Percentage Change
Note that the values, lower confidence intervals, and upper confidence intervals have been rounded to two decimal places. The p-values have been rounded to four decimal places, so any values appearing as 0 doesn’t necessarily indicate the true value is 0. Any statistically significant variables at the 5% level have been marked with a triple asterisk.
Table for the non-grade-controlled model. R-Squared of 0.37.
| Variable | Value | Lower Confidence Interval (95%) | Upper Confidence Interval (95%) | P Value | Significant (5% level) |
|---|---|---|---|---|---|
| const | 24405.21 | 19398.32 | 30704.42 | 0 | *** |
| fte | -0.07 | -0.23 | 0.09 | 0.3686 | |
| years_in_pins | -1.2 | -1.49 | -0.9 | 0 | *** |
| age_of_employee | 1.79 | 1.54 | 2.04 | 0 | *** |
| disability_DISABLED | -19.05 | -26.47 | -10.89 | 0 | *** |
| disability_Unknown | 3.62 | -4.54 | 12.48 | 0.3948 | |
| ethnicity_Minority | -17.25 | -27.08 | -6.1 | 0.0034 | *** |
| ethnicity_Unknown | 17.47 | 5.78 | 30.44 | 0.0026 | *** |
| religion_Christian | 4.11 | -1.75 | 10.33 | 0.1726 | |
| religion_Other Religion | 1.78 | -14.85 | 21.67 | 0.846 | |
| religion_Unknown | -14.01 | -22.05 | -5.14 | 0.0026 | *** |
| sexual_orientation_LGBO | 0.29 | -12.23 | 14.59 | 0.9663 | |
| sexual_orientation_Unknown | -7.8 | -16.4 | 1.69 | 0.104 | |
| school_group_Independent | 10.34 | -5.83 | 29.27 | 0.2232 | |
| school_group_Other (including outside uk) | 3.87 | -8.75 | 18.24 | 0.5651 | |
| school_group_State run - selective | 3.89 | -2.98 | 11.25 | 0.2737 | |
| school_group_Unknown | 3.73 | -4.27 | 12.41 | 0.3708 | |
| highest_parent_qual_At least degree | -0.6 | -9.03 | 8.61 | 0.8935 | |
| highest_parent_qual_Qualification below degree | -3.77 | -11.79 | 4.97 | 0.3853 | |
| highest_parent_qual_Unknown | -15.57 | -23.78 | -6.47 | 0.0012 | *** |
| gender_Female | -9.46 | -13.74 | -4.97 | 0.0001 | *** |
Note: For cluster analysis and regression analysis ‘Independent or fee-paying school – no bursary’ was included in the Not Known category.
Table for the grade-controlled model. R-Squared of 0.99
| Variable | Value | Lower Confidence Interval (95%) | Upper Confidence Interval (95%) | P Value | Significant (5% level) |
|---|---|---|---|---|---|
| const | 18849.81 | 18202.78 | 19519.85 | 0 | *** |
| fte | -0.03 | -0.05 | -0.02 | 0 | *** |
| years_in_pins | 0.12 | 0.09 | 0.16 | 0 | *** |
| age_of_employee | 0.06 | 0.03 | 0.08 | 0.0001 | *** |
| grade_AO | 15.78 | 12.71 | 18.93 | 0 | *** |
| grade_APO | 74.54 | 68.97 | 80.29 | 0 | *** |
| grade_APP AO | -1.46 | -4.89 | 2.1 | 0.4167 | |
| grade_APP EO | 19.24 | 11.28 | 27.76 | 0 | *** |
| grade_APP HEO | 50.59 | 44.79 | 56.63 | 0 | *** |
| grade_BAND 1 | 143.6 | 137.12 | 150.27 | 0 | *** |
| grade_BAND 2 | 209.69 | 201.43 | 218.19 | 0 | *** |
| grade_BAND 3 | 274.21 | 264.2 | 284.49 | 0 | *** |
| grade_EO | 39.03 | 35.3 | 42.86 | 0 | *** |
| grade_G6 | 256.18 | 244.3 | 268.46 | 0 | *** |
| grade_G7 | 189.07 | 180.86 | 197.53 | 0 | *** |
| grade_HEO | 74.26 | 69.57 | 79.08 | 0 | *** |
| grade_PL | 319.1 | 302.03 | 336.9 | 0 | *** |
| grade_SCSPB1 | 428.87 | 404.91 | 453.97 | 0 | *** |
| grade_SCSPB2 | 652.63 | 602.29 | 706.58 | 0 | *** |
| grade_SEO | 115.48 | 109.57 | 121.56 | 0 | *** |
| disability_DISABLED | 0.37 | -0.57 | 1.31 | 0.4461 | |
| disability_Unknown | 0.44 | -0.35 | 1.23 | 0.2775 | |
| ethnicity_Minority | 0.38 | -0.87 | 1.65 | 0.5491 | |
| ethnicity_Unknown | -0.81 | -1.81 | 0.2 | 0.1158 | |
| religion_Christian | 0.36 | -0.2 | 0.93 | 0.2056 | |
| religion_Other Religion | -0.58 | -2.27 | 1.14 | 0.5066 | |
| religion_Unknown | -0.29 | -1.23 | 0.66 | 0.5498 | |
| sexual_orientation_LGBO | -1.16 | -2.42 | 0.12 | 0.0744 | |
| sexual_orientation_Unknown | 0.05 | -0.88 | 1 | 0.9132 | |
| school_group_Independent | 0.68 | -0.86 | 2.25 | 0.3873 | |
| school_group_Other (including outside uk) | 0.84 | -0.41 | 2.11 | 0.1877 | |
| school_group_State run - selective | 0.42 | -0.24 | 1.08 | 0.2092 | |
| school_group_Unknown | 0.5 | -0.28 | 1.28 | 0.2076 | |
| highest_parent_qual_At least degree | 0.2 | -0.65 | 1.06 | 0.6443 | |
| highest_parent_qual_Qualification below degree | 0.53 | -0.31 | 1.37 | 0.2181 | |
| highest_parent_qual_Unknown | 0.38 | -0.61 | 1.39 | 0.4512 | |
| gender_Female | -0.33 | -0.8 | 0.14 | 0.168 |
Note: For cluster analysis and regression analysis ‘Independent or fee-paying school – no bursary’ was included in the Not Known category.